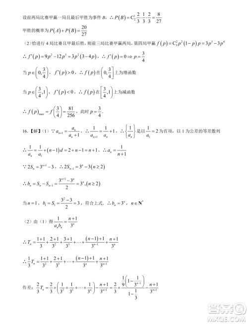
小编这次收集整理的是辽宁省实验中学等校2024年高二下学期7月期末考试的数学试题答案,命题学校辽宁省实验中学,想要练习一下的可以来做做看哦,这个系列的还是非常不错的,适用于辽宁地区的学子来练习!

答案如下,仅供参考!








辽宁大连2024年高二下学期7月期末考试数学试题答案
2024-07-19 10:23:46
小编这次收集整理的是辽宁大连2024年高二下学期7月期末考试的数学试题答案,这个适用于辽宁地区的学生练习,是大连市的期末考试的试卷,想要练习的可以来做做看哦!辽宁大连2024年
广东湛江2024年高二下学期期末调研考试数学试卷答案
2024-07-12 11:43:51
小编这次收集整理的是广东湛江2024年高二下学期期末调研考试的数学试卷答案,本卷满分150分,考试用时120分钟,这个也是高二年级的期末联考,广东其他地区的也有收集整理,想要练习的
湖北五市州2024年高二下学期期末联考数学试题答案
2024-07-11 11:37:28
小编这次收集整理的是湖北五市州2024年高二下学期期末联考的数学试题答案,本试卷共4页,满分150分,考试用时120分钟,命题单位宜昌市教科院,身体单位恩施州教科院,想要来联系一下的
广东茂名2024年高二下学期期末数学试卷答案
2024-07-09 16:39:15
小编这次收集整理的是广东茂名2024年高二下学期期末的数学试卷答案,本试卷共4页,满分150分,考试用时120分钟,这个系列的试卷还是非常不错的,感兴趣的可以来做做看哦!检查一下自己