小编这次收集整理的是湖北五市州2024年高二下学期期末联考的数学试题答案,本试卷共4页,满分150分,考试用时120分钟,命题单位宜昌市教科院,身体单位恩施州教科院,想要来联系一下的可以做做看哦!

答案如下,仅供参考!










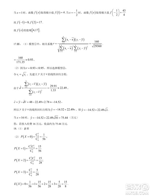
广东茂名2024年高二下学期期末数学试卷答案
2024-07-09 16:39:15
小编这次收集整理的是广东茂名2024年高二下学期期末的数学试卷答案,本试卷共4页,满分150分,考试用时120分钟,这个系列的试卷还是非常不错的,感兴趣的可以来做做看哦!检查一下自己
广东佛山2024年高二下学期期末教学质量检测数学试题答案
2024-07-09 09:45:35
小编这次收集整理的是广东佛山2024年高二下学期期末教学质量检测的数学试题答案,这个是高二的期末考试,也是佛山地区的联考,想要练习的可以来做做看,其他地区的数学期末试卷也收
安徽省十联考2024年高二下学期期末联考数学试题答案
2024-07-09 09:11:34
小编这次收集整理的是安徽省十联考2024年高二下学期期末联考的数学试题答案,考试时间120分钟,满分150分,想要练习的可以来做做看哦,看看自己做的对不对吧,这个系列的还是非常不错
福建宁德市2024年高二下学期期末质检数学试题答案
2024-07-05 15:39:57
小编这次收集整理的是宁德市的高二年级下学期的期末考试数学试题答案,这个系列的试卷还有其他年级的,站内直接搜宁德市就可以了,现阶段很多地区的学校都开始放假了,想要在假期练