小编这次收集整理的是河南百师联盟2024年高二4月联考的数学试题答案,这次的考试是4月的联考,针对高二年级的当前学习进度的一个模拟考试,想要练习一下的可以来做做看哦!

答案如下,仅供参考!
















河南青桐鸣2024年高二3月联考数学北师大版试题答案
2024-04-07 16:42:41
小编这次收集整理的是河南青桐鸣2024年高二3月联考数学北师大版试题答案,全卷满分150分,考试时间120分钟,这个系列的试卷出题还是非常有质量的,感兴趣的可以来做做看,适用于北师
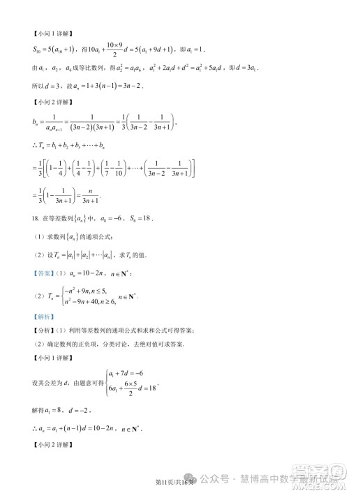
河北邯郸十校联考2024年高二下学期一调数学试题答案
2024-04-07 13:53:38
小编这次收集整理的是河北邯郸十校联考2024年高二下学期一调考试的数学试题答案,这次收集全卷满分150分,考试时间120分钟,这个系列也适用于河北地区,感兴趣的可以做完了答案,对于
湖北宜荆荆随恩2024年高二3月联考数学试题答案
2024-03-25 15:02:43
小编这次收集整理的是湖北宜荆荆随恩2024年高二3月联考的数学试题答案,命题学校随州一中,审题学校龙泉中学,这个是3月19号考试的高二数学联考,想要练习的可以来看看哦!湖北宜荆荆
辽宁名校联盟2023-2024学年高二下学期3月联合考试数学试卷答案
2024-03-12 11:46:06
小编这次收集整理的是辽宁名校联盟2023-2024学年高二下学期3月联合考试的数学试卷答案,命题人辽宁名校联盟研发中心,本试卷满分150分,考试时间120分钟,这个是高二年级的,感兴趣的