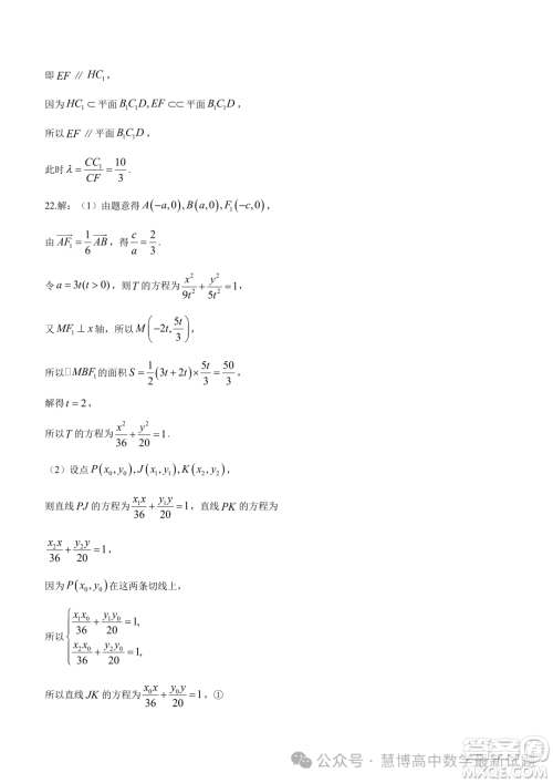
小编这次收集整理的是辽宁名校联盟2023-2024学年高二下学期3月联合考试的数学试卷答案,命题人辽宁名校联盟研发中心,本试卷满分150分,考试时间120分钟,这个是高二年级的,感兴趣的可以来看看!

答案如下,仅供参考!














浙江名校协作体2023-2024学年高二下学期开学适应性考试数学试题答案
2024-02-15 16:47:23
小编这次收集整理的是浙江省名校协作体的开学适应性考试数学试卷,这个也是九省联考题型的,想要练习一下的可以来看看,检查一下自己做的对不对,这个系列的九省联考地区都可以使用
湖北武汉华中师大一附中2023-2024学年高二上学期期末检测数学试题答案
2024-02-04 09:03:43
小编这次收集整理的是湖北武汉华中师大一附中2023-2024学年高二上学期期末检测的数学试题答案,现在很多地区的学校都放假了,想要在寒假练习的可以来看看哦,多做练习有助于提升
浙江金华十校2023-2024学年高二上学期期末调研考试数学试题答案
2024-02-01 15:34:11
小编这次收集整理的是浙江金华十校2023-2024学年高二上学期期末调研考试的数学试题答案,这个是1月底高二年级的期末考试,也是十校联考,适用于浙江地区的学校,感兴趣的可以来看看
湖北部分省级示范高中2023-2024学年高二上学期期末考试数学试题答案
2024-02-01 10:51:23
小编这次收集整理的是湖北部分省级示范高中2023-2024学年高二上学期期末考试的数学试题答案,考试时间2024年1页31日,由湖北武汉市第二十三中学命题,第十二中学审题,想要练习一下