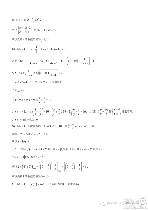
小编这次收集整理的是2023年天一联考高二冬季阶段性测试的数学试题答案,试卷满分150分,考试用时120分钟,这个系列的还是非常不凑的,感兴趣的可以来看看,多练习一下,这个是联考试卷,出题还是很有难度的!

答案如下,仅供参考!






















湖北宜荆荆随恩2023-2024学年高二上学期12月联考数学试卷答案
2023-12-20 17:22:44
小编这次收集整理的是湖北宜荆荆随恩2023-2024学年高二上学期12月联考的数学试卷答案,这个是2023年12月18日下午的考试,命题学校龙泉中学,审题学校荆州中学,想要练习一下的可以
广东佛山H7教育共同体2023-2024学年高一上学期第二次联考数学试题答案
2023-12-17 15:38:10
小编这次收集整理的是广东佛山H7教育共同体2023-2024学年高一上学期第二次联考的数学试题答案,命题人高明一中、佛山四中、罗定邦中学、容山中学,想要练习的可以来看看哦,检查
江西三新协同教研共同体2023年秋季高二12月联考数学试卷答案
2023-12-17 14:35:31
小编这次收集整理的是江西三新协同教研共同体2023年秋季高二12月联考的数学试卷答案,高二的试卷整合的相对比较少一些,本试卷主要考试内容为北师大版选择性必修第一次测第一章
苏州三校2023-2024学年高二上学期12月联合调研测试数学试题答案
2023-12-17 14:11:58
小编这次收集整理的是苏州三校2023-2024学年高二上学期12月联合调研测试的数学试题答案,这个系列的试卷还是非常不错的,感兴趣的可以来看看哦,检查一下自己做的对不对吧!苏州三