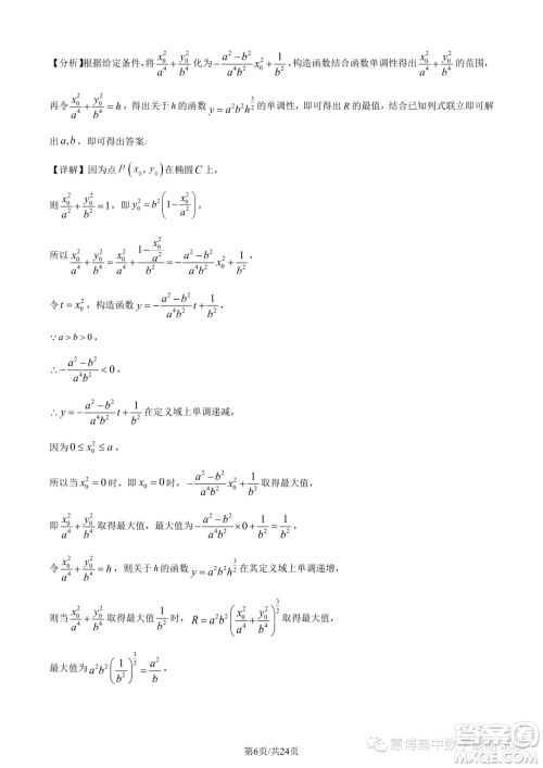
小编这次收集整理的是江西三新协同教研共同体2023年秋季高二12月联考的数学试卷答案,高二的试卷整合的相对比较少一些,本试卷主要考试内容为北师大版选择性必修第一次测第一章至第五章计数原理中的排列组合不考二项不等式,感兴趣的可以来看看哦!

答案如下,仅供参考!
























苏州三校2023-2024学年高二上学期12月联合调研测试数学试题答案
2023-12-17 14:11:58
小编这次收集整理的是苏州三校2023-2024学年高二上学期12月联合调研测试的数学试题答案,这个系列的试卷还是非常不错的,感兴趣的可以来看看哦,检查一下自己做的对不对吧!苏州三
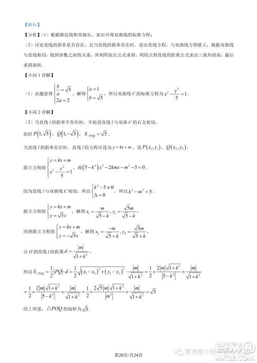
长郡中学2023年高二上学期12月阶段测试数学试题答案
2023-12-17 13:36:59
小编这次收集整理的是长郡中学2023年高二上学期12月阶段测试的数学试题答案,这个是长郡中学十二月份的考试,想要练习一下的可以来看看哦,检查一下自己做的对不对吧!长郡中学2023
辽宁部分学校2023-2024学年高二上学期12月联合考试数学试题答案
2023-12-15 15:44:52
小编这次收集整理的是辽宁部分学校2023-2024学年高二上学期12月联合考试的数学试题答案,本试卷 满分150分,考试时间120分钟,这个是丹东市第二中学命题的数学试卷,感兴趣的可以来
广东深惠湛东四校2023-2024学年高二上学期数学联考试题答案
2023-12-14 14:10:29
小编这次收集整理的是广东深惠湛东四校2023-2024学年高二上学期的数学联考试题答案,本试卷共4页,22小题,满分150分,这个是广东地区的四校12月联考,感兴趣的可以来看看,检查一下自