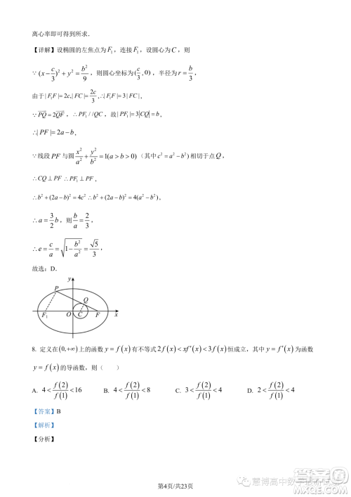
小编这次收集整理的是长郡中学2023年高二上学期12月阶段测试的数学试题答案,这个是长郡中学十二月份的考试,想要练习一下的可以来看看哦,检查一下自己做的对不对吧!

答案如下,仅供参考!























辽宁部分学校2023-2024学年高二上学期12月联合考试数学试题答案
2023-12-15 15:44:52
小编这次收集整理的是辽宁部分学校2023-2024学年高二上学期12月联合考试的数学试题答案,本试卷 满分150分,考试时间120分钟,这个是丹东市第二中学命题的数学试卷,感兴趣的可以来
广东深惠湛东四校2023-2024学年高二上学期数学联考试题答案
2023-12-14 14:10:29
小编这次收集整理的是广东深惠湛东四校2023-2024学年高二上学期的数学联考试题答案,本试卷共4页,22小题,满分150分,这个是广东地区的四校12月联考,感兴趣的可以来看看,检查一下自
重庆部分学校九校联盟2023-2024学年高二上学期12月月考数学试题答案
2023-12-14 13:49:48
小编这次收集整理的是重庆部分学校九校联盟2023-2024学年高二上学期12月月考的数学试题答案,本试卷主要考试内容为人教A版选择性必修第一册,感兴趣的可以来练习一下,这个是高二
浙江强基联盟2023学年第一学期高二12月联考数学试题答案
2023-12-13 11:24:53
在高二年级,数学科目的学习要多花时间,每次考试结束之后要做好总结,争取把丢分的问题解决清楚。今天分享浙江强基联盟2023学年第一学期高二12月联考数学试题答案,感兴趣的可以对