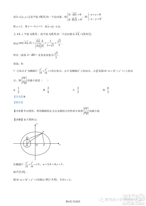
小编这次收集整理的是浙江省A9协作体2023学年第一学期期中联考高二数学试题的习题和参考答案,这个系列的还是非常不错的,感兴趣的可以来看看,做做期中联考题目,对于提升自己的学习能力还是有帮助的!

答案如下,仅供参考!




















浙江杭州S9联盟2023-2024学年高二上学期期中联考数学试题答案
2023-11-26 10:23:53
小编这次收集整理的是浙江省S9联盟2023-2024学年高二上学期期中联考的数学试题答案,本卷共4页满分150分,考试时间120分钟,这个系列的还是很不错的,想要练习一下的可以来看看哦,这
湖北部分省级示范高中2023-2024学年高二上学期11月期中测试数学试题答案
2023-11-24 10:37:26
小编这次收集整理的是湖北部分省级示范高中2023-2024学年高二上学期11月期中测试的数学试题答案,这次的命题是由武汉市第四十九中学命题的,武汉第十二中学审题,考试时间2023年1
武汉华中师大一附中2023-2024学年高二上学期期中数学试题答案
2023-11-23 14:44:58
小编这次收集整理的是武汉华中师大一附中2023-2024学年高二上学期期中的数学试题答案,前面是试卷题目,后面是解析答案和得分点,适用于湖北地区的高二学子练习,整个出题还是很不
南京师范大学附属中学2023-2024学年高二上学期期中考试数学试卷答案
2023-11-23 10:42:32
小编这次收集整理的是南京师范大学附属中学2023-2024学年高二上学期期中考试的数学试卷答案,这个试卷是十一月份的考试,也是适用于整个南京地区的学子使用,南京师大附中出的数