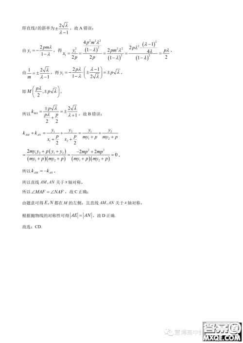
小编这次收集整理的是南京师范大学附属中学2023-2024学年高二上学期期中考试的数学试卷答案,这个试卷是十一月份的考试,也是适用于整个南京地区的学子使用,南京师大附中出的数学题目难度也比较不错,非常适合练习哦!

答案如下,仅供参考!























武汉华中师大一附中2023-2024学年高二上学期期中数学试题答案
2023-11-23 14:44:58
小编这次收集整理的是武汉华中师大一附中2023-2024学年高二上学期期中的数学试题答案,前面是试卷题目,后面是解析答案和得分点,适用于湖北地区的高二学子练习,整个出题还是很不
山东潍坊2023-2024学年上学期高二期中考试数学试题答案
2023-11-22 11:58:09
小编这次收集整理的是山东潍坊2023-2024学年上学期高二期中考试的数学试题答案,本试卷分为第一卷和第二卷,满分150分,考试时间120分钟,答题的时候主要看考试范围,模拟练习还是要
湖南雅礼教育集团2023-2024学年高二上学期期中考试数学试题答案
2023-11-21 11:29:02
小编这次收集整理的是湖南雅礼教育集团2023-2024学年高二上学期期中考试的数学试题答案,时量120分钟,分值150分,这个系列的还是非常不错的,想要练习一下的可以来看看哦!湖南雅礼
广东省部分名校2023-2024学年高二上学期11月联考数学试题答案
2023-11-20 09:34:12
小编这次收集整理的是广东省部分名校2023-2024学年高二上学期11月联考的数学试题答案,本试卷共4页,全卷满分150分,考试用时120分钟,这个系列的还是非常不错的,感兴趣的可以来看看