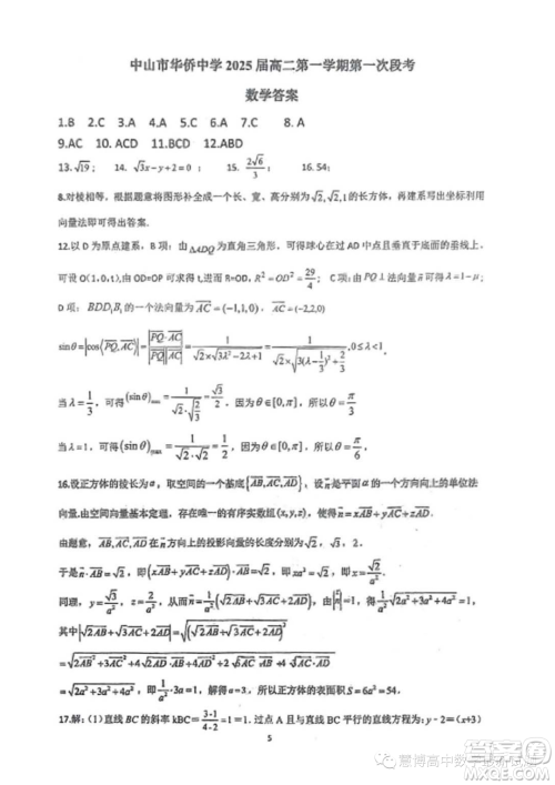
小编这次收集整理的是广东中山华侨中学2023-2024学年高二上学期第一次段考的数学试题答案,这个是十一月份的考试,也适用于广东地区其他高二学子练习,想要模拟训练的可以来看看哦,检查一下自己当前的学习水平吧!

答案如下,仅供参考!








浙江温州环大罗山联盟2023-2024学年高二上学期期中联考数学试题答案
2023-11-08 13:42:30
小编这次收集整理的是浙江温州环大罗山联盟2023-2024学年高二上学期期中联考的数学试题答案,本试卷共4页满分150分,考试时间120分钟,这个系列的试卷适用于浙江地区高二学子练习
温州十校联合体2023-2024学年高二上学期期中联考数学试题答案
2023-11-07 19:43:29
小编这次收集整理的是2023学年第一学期温州十校联合体高一高二期中联考的高二数学试卷答案,这个解析还是很全面的,也适合浙江地区的高二学子练习,想要提升和自我学习的可以来做
2023温州十校联合体高二上学期期中联考地理试题答案
2023-11-06 17:51:23
小编这次收集整理的是温州十校联合体高二年级上学期的联考试卷的地理学科试题和参考答案,其他学科的也有陆续收集整理,想要练习一下的可以来看看,副科整理的相对比较少一些,要珍
河南顶尖名校联盟2023-2024学年高二上学期期中检测数学试题答案
2023-11-06 14:11:36
小编这次收集整理的是河南顶尖名校联盟2023-2024学年高二上学期期中检测的数学试题答案,这个期中联考检测,想要练习的可以来看看,高三年级的也有整理,站内直接搜顶尖名校联盟就