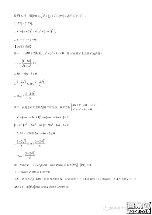
小编这次收集整理的是2023学年第一学期温州十校联合体高一高二期中联考的高二数学试卷答案,这个解析还是很全面的,也适合浙江地区的高二学子练习,想要提升和自我学习的可以来做做看哦,根据解析自我评估打分吧!

答案如下,仅供参考!































2023温州十校联合体高二上学期期中联考地理试题答案
2023-11-06 17:51:23
小编这次收集整理的是温州十校联合体高二年级上学期的联考试卷的地理学科试题和参考答案,其他学科的也有陆续收集整理,想要练习一下的可以来看看,副科整理的相对比较少一些,要珍
河南顶尖名校联盟2023-2024学年高二上学期期中检测数学试题答案
2023-11-06 14:11:36
小编这次收集整理的是河南顶尖名校联盟2023-2024学年高二上学期期中检测的数学试题答案,这个期中联考检测,想要练习的可以来看看,高三年级的也有整理,站内直接搜顶尖名校联盟就
武汉市2023-2024学年高二上期中模拟数学试卷答案
2023-11-02 17:34:12
小编这次收集整理的是武汉市2023-2024学年高二上期中模拟的数学试卷答案,这个也是整合的各个高二的经典题目,想要练习的可以来看看,检测一下自己当前的学习水平和能力!其他地区
皖豫名校联盟2022-2023学年上高二年级阶段性测试一数学试题答案
2023-11-02 16:50:18
小编这次收集整理的是皖豫名校联盟2022-2023学年上高二年级阶段性测试一的数学试题答案,本试卷是高二年级的数学试卷考试,也适合其他地区高二学子练习,试卷的模拟练习一般都是