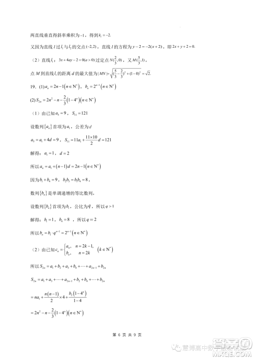
小编这次收集整理的是苏州2023-2024学年高二上学期11月期中摸底调研的数学试卷答案,这个系列的是苏州地区的十一月初的考试,新鲜出炉,非常适合江浙一带的学子自我练习,感兴趣的可以来看看哦!

答案如下,仅供参考!









湖北省云学新高考联盟学校2023-2024学年高二10月联考语文试题答案
2023-10-31 15:40:13
小编这次收集整理的是湖北省云学新高考联盟学校2023-2024学年高二10月联考的语文试题答案,这个系列试卷是湖北省的联考,其他同人教版地区的学子也可以用来模拟练习,这个是十月
苏州2023年高二上学期期中模拟考试物理试卷答案
2023-10-31 14:32:58
小 编这次收集整理的是苏州市的高二年级物理期中调研卷习题和答案,这个的考试范围是必修三的最后一章和选修一的前三章,想要进行对应模拟练习的可以来看看,检查一下自己做的对
华师一附中2023年上学期高二十月月考数学试卷答案
2023-10-31 10:43:20
小编这次收集整理的是华师一附中2023年上学期高二十月月考的数学试卷答案,时限120分钟,满分150分,这个是武汉市的华师一附中的高二年级十月份的考试,也适用于湖北地区的学子练习
金科新未来2023年秋季高二10月质检数学试题答案
2023-10-31 10:09:14
小编这次收集整理的是金科新未来2023年秋季高二10月质检的数学试题答案,全卷满分150分,考试时间120分钟,这个是金科新未来联考试卷,也是十月底的最后一次考试了,想要模拟练习的可