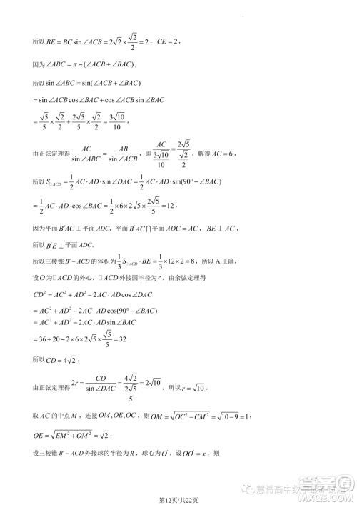
小编这次收集整理的是华师一附中2023年上学期高二十月月考的数学试卷答案,时限120分钟,满分150分,这个是武汉市的华师一附中的高二年级十月份的考试,也适用于湖北地区的学子练习,感兴趣的可以来做做看哦!

答案如下,仅供参考!






















金科新未来2023年秋季高二10月质检数学试题答案
2023-10-31 10:09:14
小编这次收集整理的是金科新未来2023年秋季高二10月质检的数学试题答案,全卷满分150分,考试时间120分钟,这个是金科新未来联考试卷,也是十月底的最后一次考试了,想要模拟练习的可
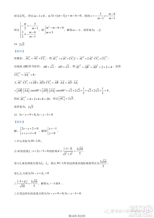
江苏南通市如皋市2023年高二上学期教学质量调研一数学试题答案
2023-10-30 17:49:31
小编这次收集整理的是江苏南通市如皋市2023年高二上学期教学质量调研一的数学试题答案,这个是整理的江苏地区的高二数学试卷,想要练习的江苏学子可以来看看,多个模拟试卷练习对
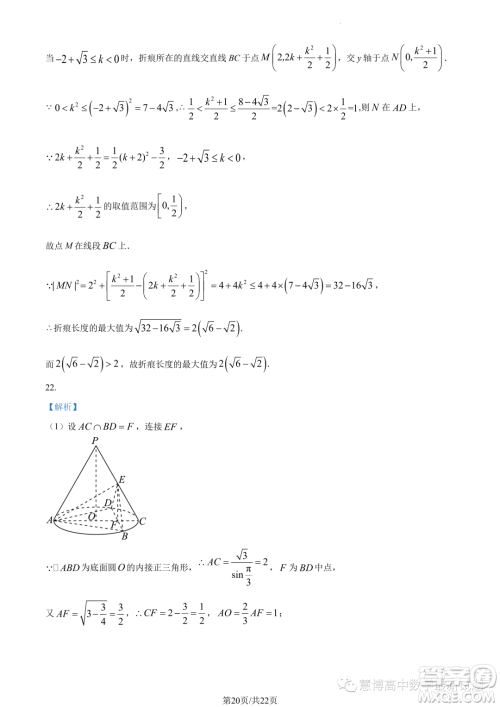
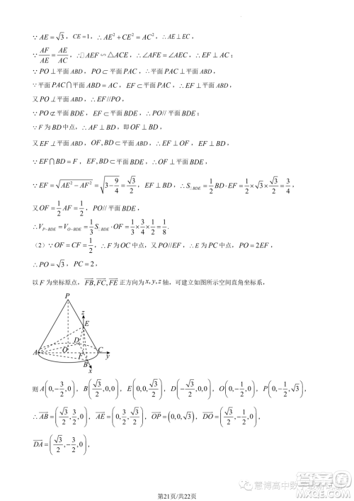
豫南名校2023-2024学年高二上学期10月质量检测数学试卷答案
2023-10-30 14:45:53
小编这次收集整理的是豫南名校2023-2024学年高二上学期10月质量检测的数学试卷答案,全卷满分150分,考试时间120分钟,这个是秋季上学期的高二数学检测,站内也有许多其他地区的数
广东阳江2023年高二上学期10月期中测试数学试题答案
2023-10-30 14:23:35
小编这次收集整理的是广东阳江2023年高二上学期10月期中测试的数学试题答案,本试卷共4页,22小题,满分150分,考试用时120分钟,这个系列的试卷适用于广东地区,感兴趣的可以来练习一