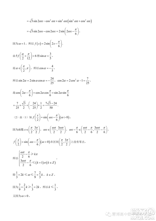
小编这次收集整理的是安徽皖江名校2023年高二上学期开学联考的数学试题答案,本试卷共4页,全卷满分150分,考试时间120分钟,感兴趣的可以来练习一下,看看自己当前的学习水平和进度,对于高二的下一步学习也有一个了解!

答案如下,仅供参考!













成都外国语学校2023年高二上期9月月考数学试题答案
2023-09-11 09:13:02
小编这次收集整理的是成都外国语学校2023年高二上期9月月考的数学试题答案,这个系列的还有其他学科的,后续也会陆续收集,高二年级的模拟试卷整合的比高三会少一些,有需要的可以
福建部分名校2023年高二上学期入学联考数学试题答案
2023-09-07 09:38:26
小编这次收集整理的是福建部分名校2023年高二上学期入学联考的数学试题答案,本次考试是福建省的部分学校联考,也是为高二学子打一个铺垫,其他地区和学科的也有整合,站内选择高二
2024届山东日照高二上学期8月校际联合考试数学试题答案
2023-08-30 10:25:32
小编这次收集整理的是2024届山东日照高二上学期8月校际联合考试的数学试题答案,这个是日照的八月高中联考,有高二和高三的,高三也有整理,站内直接搜日照就可以搜到了!2024届山东
河南名校2023-2024学年高二上学期第一次联考数学试题答案
2023-08-30 09:52:38
小编这次收集整理的是河南名校2023-2024学年高二上学期第一次联考的数学试题答案,本试卷主要考试内容为人教A版必修第二册至选择性必修第一册第一章,感兴趣的可以来看看哦!河南