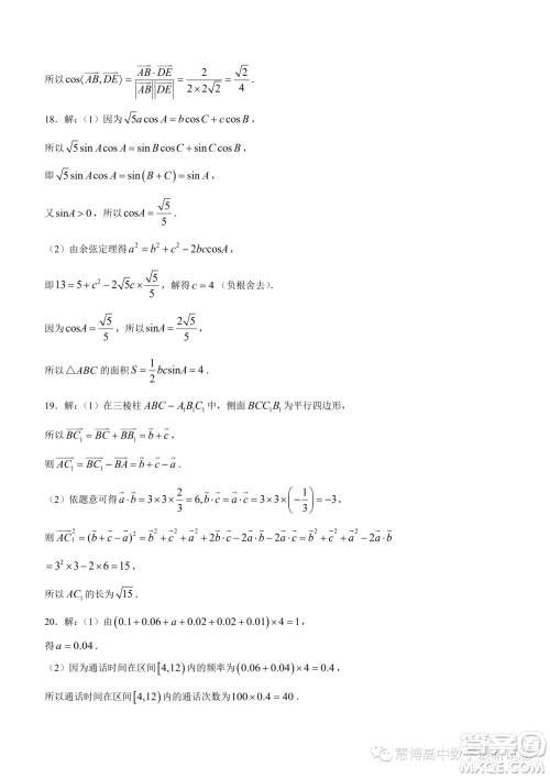
小编这次收集整理的是福建部分名校2023年高二上学期入学联考的数学试题答案,本次考试是福建省的部分学校联考,也是为高二学子打一个铺垫,其他地区和学科的也有整合,站内选择高二年级可以查找哦!

答案如下,仅供参考!










2024届山东日照高二上学期8月校际联合考试数学试题答案
2023-08-30 10:25:32
小编这次收集整理的是2024届山东日照高二上学期8月校际联合考试的数学试题答案,这个是日照的八月高中联考,有高二和高三的,高三也有整理,站内直接搜日照就可以搜到了!2024届山东
河南名校2023-2024学年高二上学期第一次联考数学试题答案
2023-08-30 09:52:38
小编这次收集整理的是河南名校2023-2024学年高二上学期第一次联考的数学试题答案,本试卷主要考试内容为人教A版必修第二册至选择性必修第一册第一章,感兴趣的可以来看看哦!河南
江苏省响水中学2023年高二上学期暑期检测数学试卷答案
2023-08-29 10:58:03
小编这次收集整理的是江苏省响水中学2023年高二上学期暑期检测的数学试卷答案,满分150分,考试试卷120分钟,这个是高二年级的暑假测试卷,也是开学考试,感兴趣的可以来看看,检查一下
安徽师范大学附属中学2023年高二上学期开学考试数学试题答案
2023-08-29 10:37:32
小编这次收集整理的是安徽师范大学附属中学2023年高二上学期开学考试的数学试题答案,其他安徽地区的也可以使用,适用性广泛,想要练习的可以来看看,检查一下自己做的对不对吧!安徽