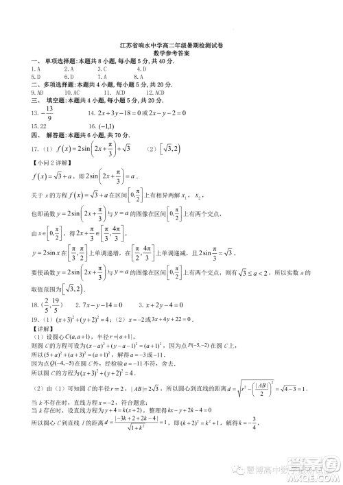
小编这次收集整理的是江苏省响水中学2023年高二上学期暑期检测的数学试卷答案,满分150分,考试试卷120分钟,这个是高二年级的暑假测试卷,也是开学考试,感兴趣的可以来看看,检查一下哦!

答案如下,仅供参考!







安徽师范大学附属中学2023年高二上学期开学考试数学试题答案
2023-08-29 10:37:32
小编这次收集整理的是安徽师范大学附属中学2023年高二上学期开学考试的数学试题答案,其他安徽地区的也可以使用,适用性广泛,想要练习的可以来看看,检查一下自己做的对不对吧!安徽
长沙长郡中学2023你那高二暑假作业检测试卷数学试卷答案
2023-08-18 16:38:49
小编这次收集整理的是长沙长郡中学2023你那高二暑假作业检测试卷的数学试卷答案,本试卷分第I卷和第II卷,感兴趣的可以来看看,这个是暑假作业检测,其他地区的也有,属于开学考试了!
2024届府米绥横靖五校联考高二语文试卷答案
2023-08-14 17:29:21
小编这次收集整理的是2024届府米绥横靖五校联考的高二语文试卷答案,本卷命题范围为高考范围,这个是五校联考的语文试卷,其他学科的还有收集整理,站内直接搜五校联考就可以了!2024
宁德一中2023-2024学年高二上学期开学检测数学试题答案
2023-08-14 14:16:51
小编这次收集整理的是宁德一中2023-2024学年高二上学期开学检测的数学试题答案,考试时间120分钟,试卷总分150分,考试范围第一章数列等比求和前,感兴趣的可以来看看哦!宁德一中202