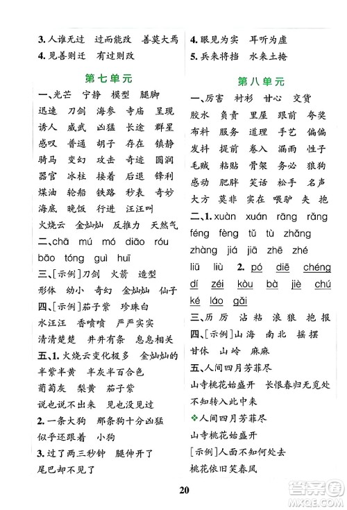
语文这门学科需要同学们多记,吃透课堂上的老师讲解的知识,提升成绩,今天小编为同学们整理了陕西师范大学出版总社有限公司2024年春小学学霸冲A卷三年级语文下册人教版答案,练习完的同学可以来答案圈核对一下答案。

答案如下,仅供参考:
















陕西师范大学出版总社有限公司2024年春小学学霸冲A卷三年级数学下册苏教版答案
2024-05-21 18:08:53
今天小编为同学们整理了陕西师范大学出版总社有限公司2024年春小学学霸冲A卷三年级数学下册苏教版答案,本练习贴合教材编排,帮助同学们吸收课堂上老师讲解的知识,检测掌握程度,
陕西师范大学出版总社有限公司2024年春小学学霸冲A卷三年级数学下册人教版答案
2024-05-21 18:05:22
今天小编为同学们整理了陕西师范大学出版总社有限公司2024年春小学学霸冲A卷三年级数学下册人教版答案,本练习帮助同学们实操运用课堂上所学的知识点,同时可以检测知识点牢记
陕西师范大学出版总社有限公司2024年春小学学霸冲A卷三年级英语下册人教版答案
2024-05-21 18:02:51
三年级题目不是特别难,同学们只需要在课堂上认真听讲,在课下通过训练巩固知识,今天小编为同学们整理了陕西师范大学出版总社有限公司2024年春小学学霸冲A卷三年级英语下册人教
陕西师范大学出版总社有限公司2024年春小学学霸冲A卷四年级语文下册人教版答案
2024-05-21 17:59:32
四年级同学们逐渐可以意识到语文这门学科的难度,同学们要通过训练掌握好知识,今天小编为同学们整理了陕西师范大学出版总社有限公司2024年春小学学霸冲A卷四年级语文下册人教