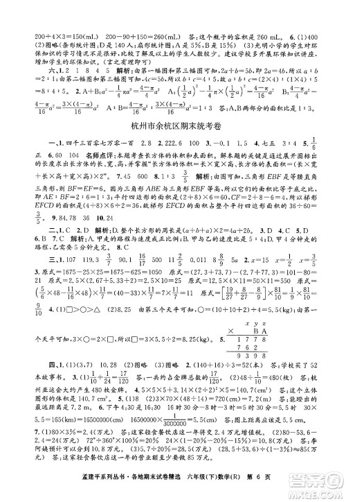
今天小编为同学们整理了浙江工商大学出版社2024年春孟建平各地期末试卷精选六年级数学下册人教版浙江专版答案,帮助同学们巩固所学的知识点,通过练习实操运用所学知识,提升成绩,练习完的同学可以来答案圈核对一下答案。

答案如下,仅供参考:
















浙江工商大学出版社2024年春孟建平各地期末试卷精选六年级英语下册人教PEP版答案
2024-05-23 18:32:38
英语这门学科在六年级难度不小,同学们要通过实操来回顾所学知识,提升成绩,今天小编为同学们整理了浙江工商大学出版社2024年春孟建平各地期末试卷精选六年级英语下册人教PEP版
浙江工商大学出版社2024年春孟建平各地期末试卷精选八年级语文下册部编版浙江专版答案
2024-05-23 17:14:57
语文这门学科在八年级难度不小,同学们也可以意识到这门学科的难度,今天小编为同学们整理了浙江工商大学出版社2024年春孟建平各地期末试卷精选八年级语文下册部编版浙江专版答
浙江工商大学出版社2024年春孟建平各地期末试卷精选七年级语文下册部编版浙江专版答案
2024-05-23 16:55:38
语文这门学科在初中难度不小,同学们要通过训练巩固好所学的内容,今天小编为同学们整理了浙江工商大学出版社2024年春孟建平各地期末试卷精选七年级语文下册部编版浙江专版答案
浙江工商大学出版社2024年春孟建平各地期末试卷精选八年级数学下册人教版浙江专版答案
2024-05-23 16:19:07
数学这门学科需要同学们多做练习,通过实操运用课堂上所学的知识,今天小编为同学们整理了浙江工商大学出版社2024年春孟建平各地期末试卷精选八年级数学下册人教版浙江专版答案