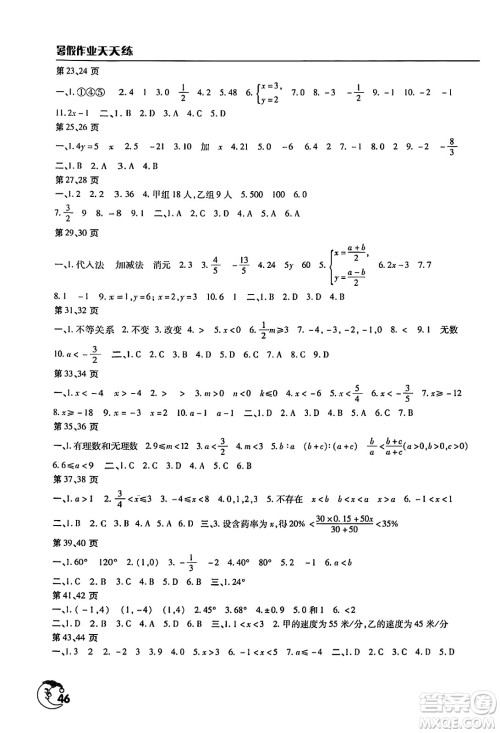
暑假作业是一个载体,它给学生一个支点,激发学生的情感体验和情感共鸣,在假期来对所学内容进行诊断及反馈,今天小编为同学们整理了文心出版社2024年暑假作业天天练七年级数学人教版答案,练习完的同学可以来答案圈核对一下答案。

答案如下,仅供参考:


文心出版社2024年暑假作业天天练四年级英语人教版答案
2024-07-23 13:28:15
暑假作业在假期必不可少,是对学生学习成果的检验,也是促进学生思维能力和综合素养发展的重要途径,今天小编为同学们整理了文心出版社2024年暑假作业天天练四年级英语人教版答案
文心出版社2024年暑假作业天天练一年级数学人教版答案
2024-07-23 11:53:04
暑假作业是假期的重要组成部分,帮助同学们巩固这学期所学的知识,提升独立性、责任感、条理性,培养好习惯,今天小编为同学们整理了文心出版社2024年暑假作业天天练一年级数学人教
文心出版社2024年暑假作业天天练五年级语文人教版答案
2024-07-23 11:02:17
进入暑假,同学们都有暑假作业,帮助同学们巩固和深化学习知识,及时巩固所学的内容,了解自己的学习情况,今天小编为同学们整理了文心出版社2024年暑假作业天天练五年级语文人教版答
安徽人民出版社2024年假期课堂暑假作业七年级数学沪科版答案
2024-07-19 18:00:18
暑假作业是同学们在假期时间之外完成的一种自主性、探究性、有意义的智力或技能活动,提升学习效能,今天小编为同学们整理了安徽人民出版社2024年假期课堂暑假作业七年级数学沪