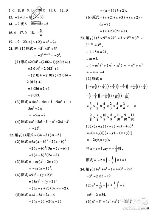
小编整理了吉林教育出版社2024年春黄冈360度定制密卷七年级数学下册冀教版参考答案,内容新颖,欢迎大家查阅。对于初一生来说,数学科目的学习要求不少,大家得对照训练,课余时间务必要把握住。注意,答案仅供参考哦!

答案如下:
























济南出版社2024年春黄冈360度定制密卷七年级地理下册通用版参考答案
2024-04-07 14:06:12
今天分享济南出版社2024年春黄冈360度定制密卷七年级地理下册通用版参考答案,内容丰富,欢迎大家查阅。这是为初一年级学生搜集到的地理练习册答案,希望能帮到你们。不过,答案仅
济南出版社2024年春黄冈360度定制密卷七年级语文下册通用版参考答案
2024-04-07 13:52:02
在初一年级,语文科目的学习要求不少,大家务必得把握住机会,课下勤做练习,这样才能拿到好成绩。小编整理了济南出版社2024年春黄冈360度定制密卷七年级语文下册通用版参考答案,赶
济南出版社2024年春黄冈360度定制密卷七年级英语下册人教版参考答案
2024-04-07 13:35:01
在初一年级,英语科目的学习内容增加了,大家得珍惜时间,课下勤做练习,这样才能有效提分。小编分享济南出版社2024年春黄冈360度定制密卷七年级英语下册人教版参考答案,感兴趣的可
济南出版社2024年春黄冈360度定制密卷一年级数学下册冀教版参考答案
2024-04-07 11:21:38
到了小学一年级,学生们要把握住机会,数学科目是重点,该做的练习要积极完成。小编分享济南出版社2024年春黄冈360度定制密卷一年级数学下册冀教版参考答案,内容丰富,赶紧看过来。