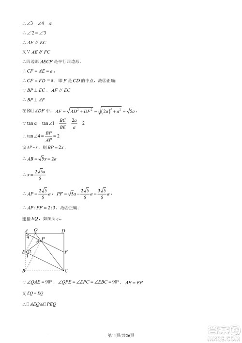
今天小编为同学们整理了2024年四川省遂宁市初中学业水平考试数学试题答案,本试卷是今年的中考试卷,准初三同学们可以来进行练习训练,查缺补漏,这个系列的题目还有收集整理其他学科,站内直接搜遂宁中考就可以搜到了,感兴趣的同学们可以来看看。

答案如下,仅供参考:


























2024南充中考数学真题答案
2024-06-20 17:04:07
今天小编为同学们整理了2024年四川省南充市初中学业水平考试数学试题答案,本试卷帮助刚考完的考生进行答案核对,进行估分,准初三同学也可以来检测一下,这个系列的题目还有收集整
2024内江中考数学真题答案
2024-06-20 16:51:57
今天小编为同学们整理了2024年四川省内江市初中学业水平考试数学试题答案,本试卷让同学们可以来进行知识梳理检测,帮助准初三学生来熟悉题型,这个系列的题目还有收集整理其他学
2024山东中考数学真题答案
2024-06-20 16:28:04
今天小编为同学们整理了2024年山东省初中学业水平考试数学试题答案,本试卷帮助准初三学子进行题型熟悉,同时帮助刚考完的考生来进行估分,这个系列的题目还有收集整理其他学科,站
2024南京中考数学真题答案
2024-06-20 16:13:41
今天小编为同学们整理了2024年南京市初中学业水平考试数学试题答案,本试卷是今年的中考真题,帮助同学们来及时估分,同时让准初三学生进行真题检测,这个系列的题目还有收集整理其