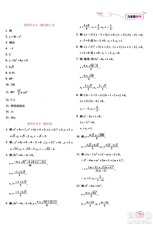
进入九年级,各学科的难度都不小,同学们在假期要多花时间,通过实操来运用好所学的知识,今天小编为同学们整理了北京教育出版社2024新课标寒假乐园九年级数学课标版答案,练习完的同学们可以来答案圈核对一下答案。

答案如下,仅供参考:












北京教育出版社2024新课标寒假乐园八年级数学课标版答案
2024-02-14 12:39:33
八年级的数学难度会有所增加,同学们在假期要多花时间,通过练习来巩固好所学的知识点,今天小编为同学们整理了北京教育出版社2024新课标寒假乐园八年级数学课标版答案,练习完的同
北京教育出版社2024新课标寒假乐园七年级数学通用版答案
2024-02-14 11:20:45
数学这门学科想要同学们多做练习,通过训练来拓展不同类型的题目,全面提升这门学科的成绩,今天小编为同学们整理了北京教育出版社2024新课标寒假乐园七年级数学通用版答案,练习完
北京教育出版社2024新课标寒假乐园九年级英语课标版答案
2024-02-14 11:04:11
进入九年级,同学们的压力不小,想要提升成绩同学们要利用好假期时间,对知识点进行巩固,今天小编为同学们整理了北京教育出版社2024新课标寒假乐园九年级英语课标版答案,练习完的同
北京教育出版社2024新课标寒假乐园八年级英语课标版答案
2024-02-14 09:52:52
英语这门学科在八年级难度不小,同学们在假期要多花时间,多记单词,对知识点进行巩固训练,今天小编为同学们整理了北京教育出版社2024新课标寒假乐园八年级英语课标版答案,练习完的