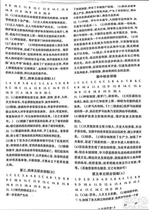
在初三年级,历史科目的备考要多背多思考,平时的时间要勤做练习,课下也不能松懈,今天整理了南方出版社2023年秋新课程学习指导九年级历史上册通用版参考答案,感兴趣的建议收藏,切勿照搬照抄哦!

答案如下:








南方出版社2023年秋新课程学习指导九年级数学上册人教版参考答案
2023-12-05 14:16:49
小编整理了南方出版社2023年秋新课程学习指导九年级数学上册人教版参考答案,感兴趣的可以看过来。这是为初三年级学生搜集到的数学练习册答案,内容丰富,希望能帮到你们。此外,答
南方出版社2023年秋新课程学习指导八年级英语上册人教版参考答案
2023-12-05 14:04:19
在初二年级,英语科目的学习很重要,大家务必把握住机会,争取拿到好成绩。小编整理了南方出版社2023年秋新课程学习指导八年级英语上册人教版参考答案,内容丰富,感兴趣的建议收藏,注
南方出版社2023年秋新课程学习指导八年级英语上册外研版参考答案
2023-12-05 13:52:32
进入初二年级,英语科目的学习要多花时间,不管是单词还是语法,大家都得掌握起来,这样才能在考试中拿到高分。小编分享南方出版社2023年秋新课程学习指导八年级英语上册外研版参考
南方出版社2023年秋新课程学习指导八年级地理上册湘教版参考答案
2023-12-05 13:39:56
在初二年级,地理科目的学习难度不低,大家想拿到好成绩就得勤做练习,课余时间务必得把握住。小编分享南方出版社2023年秋新课程学习指导八年级地理上册湘教版参考答案,感兴趣的可