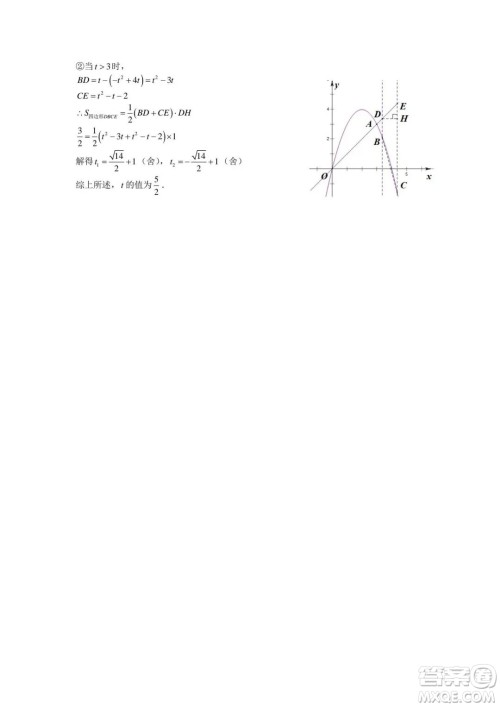
小编这次收集整理的是2023安徽中考的数学试题卷答案,本次试卷共4页,前面是题目,后面是解析答案和得分点,做完了之后可以来查看一下,核对评估自己的分数,对自己的大体分数有一个估算了解,方便选择高中学校!

答案如下,仅供参考!









2023福建中考道德与法治真题答案
2023-06-26 16:32:14
小编这次收集整理的是2023福建中考的道德与法治真题答案,这个系列的题目还有收集整理其他学科的比如语文、数学等等,有需要的可以搜一下福建中考,选择对应学科,方便估分核对!2023
2023福建中考历史真题答案
2023-06-26 16:15:35
小编这次收集整理的是2023福建中考的历史真题答案,这个是2023年六月的福建省初中学业水平考试,其他学科的也有收集整理,站内直接搜福建中考就可以搜到,多个学科整合,也是为了方便
2023福建中考化学真题答案
2023-06-26 15:53:47
小编这次收集整理的是2023福建中考的化学真题答案,相对原子质量H1,N14NO16,Na23,Mg24,I127,在做题的时候也可以借鉴一下质量公式,其他学科的站内直接搜福建中考就可以了!2023福
2023福建中考物理真题答案
2023-06-26 15:14:14
小编这次收集整理的是2023福建中考的物理真题答案,这个系列的还有其他学科的,站内直接搜福建中考就可以了,有需要的可以来看看,前面是题目后面是答案解析,参考估分更有价值!2023福