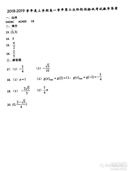
哈三中2018—2019年高一上第二次验收考试数学试卷及答案已经整理完成了,需要核对参考的伙伴及时来答案圈查看

答案很简洁,大家参考后还有不懂的一定要及时的请教老师





第一,预习。尽量做到每节新课在老师还没讲之前预习一下。将不懂的地方做好标记,同时例题也最好自己亲自做一遍。
第二,上课时根据预习的印象,注意听老师讲解,在预习中不理解的内容在此解决。同时,对老师所讲的方法或例题在课本中没有的做个笔记。
第三,按时独立完成课本上的所有例题,练习题和习题。最好整理出自己的课堂笔记和错题集并不定时的温习。
第四,利用课外时间多练习一些课外辅导书上的新题型和综合题。
第五,适当钻研一些相关的难题,开拓解题思路和视野。
哈三中2018—2019年高一上第二次验收考试语文试卷及答案
2018-12-24 08:36:08
哈三中2018—2019年高一上第二次验收考试语文试卷及答案小编已经整理完了,需要的伙伴注意查看哦哈三中2018—2019年高一上第二次验收考试语文试卷及答案这次收集的是哈尔滨第
浙江省七彩阳光联盟2019届高三第二次12月联考数学试题及答案
2018-12-24 08:16:10
浙江省七彩阳光联盟2019届高三第二次12月联考数学试题及答案小编已经整理完,需要的小伙伴及时来答案圈查看哦浙江省七彩阳光联盟2019届高三第二次12月联考数学试题及答案高三
2018年尖子生培优教材专项集训数学初中综合版参考答案
2018-12-23 10:55:37
这次小编整理的是2018年尖子生培优教材专项集训数学初中综合版参考答案,需要核对的伙伴注意查看哦2018年尖子生培优教材专项集训数学初中综合版参考答案本书由南方教育出版社
学校开办了语文、数学、美术三个课外学习班,每个学生最多可以参加两个(可以不参加)。问:至少有多少名学生,才能保证有不少于5名同学参加学习班的情况完全相同?
2018-12-23 10:55:21
【答案】至少有29名学生,才能保证有不少于5名同学参加学习班的情况完全相同。【解析】首先要弄清参加学习班有多少种不同情况。不参加学习班有1种情况,只参加一个学习班有3种