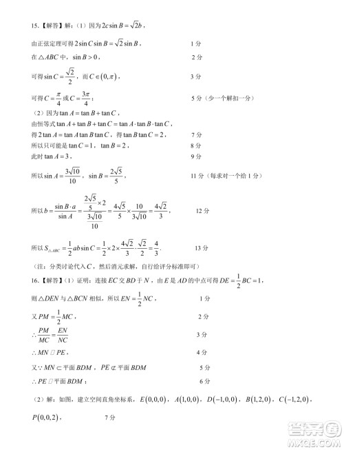
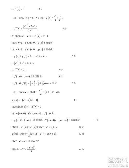
小编这次收集整理的是2025届广东华南师大附中高三上学期综合测试月考一的数学试题答案,满分150分,时间120分钟,想要练习的可以来做做看,高三的综合检测还是蛮多的,可以多练习一下,评估一下自己当前的学习理解能力!

答案如下,仅供参考!














2025届山西晋城高三上学期9月月考数学试题答案
2024-09-23 17:59:16
小编这次收集整理的是2025届山西晋城高三上学期9月月考的数学试题答案,本次试卷主要考试内容为集合、常用逻辑用语、不等式、函数、三角函数,想要练习的可以来做做看哦,检查一
2025届深圳外国语学校高三上学期第二次月考数学试题答案
2024-09-23 10:00:37
小编这次收集整理的是2025届深圳外国语学校高三上学期第二次月考的数学试题答案,试卷共4页,满分150分,考试用时120分钟,想要练习的可以来做做看哦,数学月考试卷练习还是收集整理
2025届邯郸高三上学期第一次调研考试数学试题答案
2024-09-23 09:57:43
小编这次收集整理的是2025届邯郸高三上学期第一次调研考试的数学试题答案,本试卷共4页,满分150分,考试用时120分钟,这套试卷还是不错的,想要练习的可以来做做看哦!2025届邯郸高三
2025广西南宁高三毕业班摸底测试数学试题答案
2024-09-20 10:46:17
小编这次收集整理的是九月十八日考试的2025届广西南宁高三毕业班摸底测试的数学试题答案,这次的试卷适用于广西地区学子练习,想要试试的可以来做做看哦,其他地区的也有整合,在高