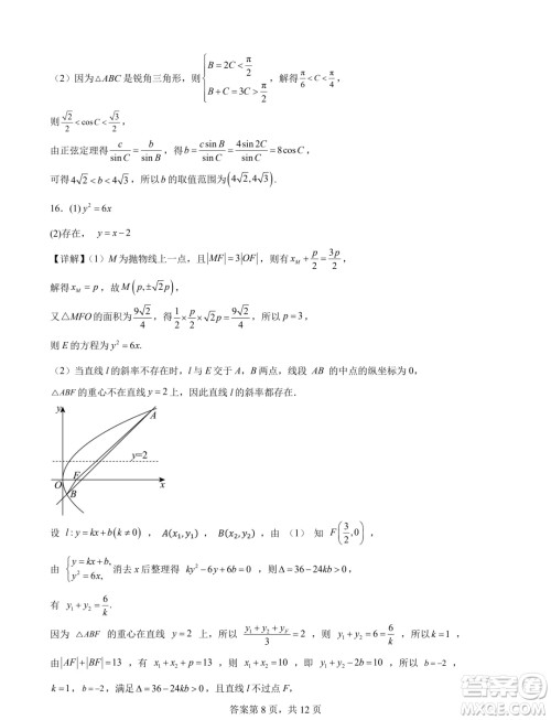
小编这次收集整理的是广东珠海一中2025届高三九月份开学考的数学模拟测试一答案,这次的试卷适用于广东地区学子练习,想要锻炼的可以来做做看哦,对于评估自己的数学能力还是很有帮助的!

答案如下,仅供参考!
















2025届广东高三8月大联考25-02C数学试题答案
2024-08-27 09:24:42
小编这次收集整理的是2025届广东高三8月大联考25-02C的数学试题答案,本试卷主要考试内容为高考全部内容,想要练习的可以来做做看,这个是适用于广东的地区的联考试卷和学习!2025
江苏南京六校联合体2025届高三上学期学情调研测试数学试题答案
2024-08-25 15:20:07
小编这次手机整理的是江苏南京六校联合体2025届高三上学期学情调研测试的数学试题答案,这次的试卷是南京学校的联考,适用于江苏地区学子练习,想要试试的可以来做做看哦,这个可以
东北师范大学附属中学2024-2025学年高二上学期开学验收考试数学试卷答案
2024-08-25 10:05:08
小编这次收集整理的是东北师范大学附属中学2024-2025学年高二上学期开学验收考试的数学试卷答案,本次考试时间90分钟,满分120分,这个适用于东北地区学子使用,想要练习的可以来做
湖南天壹名校联盟2025届高三入学考试数学试卷答案
2024-08-25 09:17:55
小编这次收集整理的是湖南天壹名校联盟2025届高三入学考试的数学试卷答案,这个试卷适用于湖南地区学子练习,想要练习的可以来做做看哦,检查一下自己做的对不对吧,这个系列的试卷