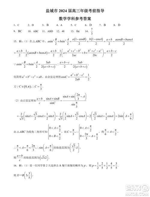
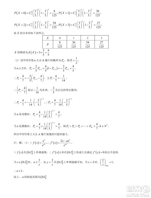
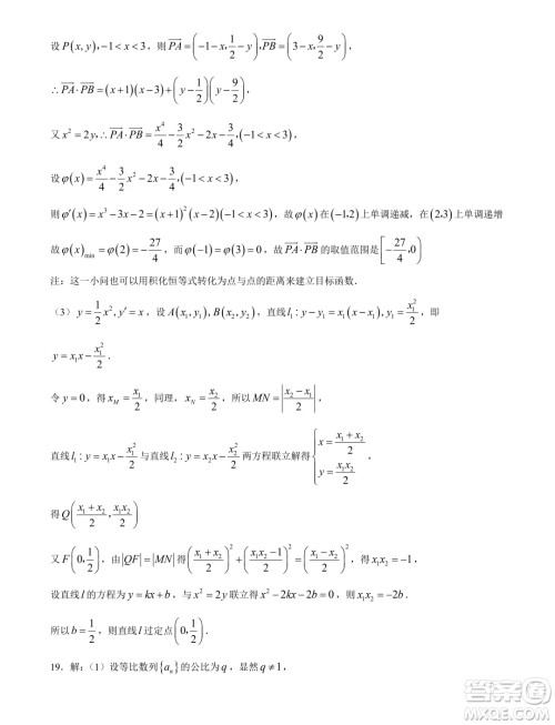
小编这次收集整理的是2024届江苏盐城高三5月考前指导的数学试题答案,总分150分,考试时间120分钟,这个是盐城市的高三考前联考训练,想要练习的可以来做做看,检查一下自己做的对不对吧!

答案如下,仅供参考!









江苏南京大学附属中学2024届高考考前数学模拟试卷答案
2024-05-28 15:34:33
小编这次收集整理的是江苏南京大学附属中学2024届高考考前的数学模拟试卷答案,这个系列的试卷都是高考前最后的练习,也是最后的模拟考试,适合查缺补漏,想要练习的可以来做做看哦
2024届广东名校教研联盟高三5月模拟预测考试数学试题答案
2024-05-28 15:18:24
小编这次收集整理的是2024届广东名校教研联盟高三5月模拟预测考试的数学试题答案,想要练习的可以来做做看,这次的是高三的最后模拟考试了,马上就要迎接高考了哦,备战高考还是很
山东智慧上进2024届高三下学期5月大联考数学试题答案
2024-05-27 16:28:17
小编这次收集整理的是山东智慧上进2024届高三下学期5月大联考的数学试题答案,本次是五月大联考,后面的估计就不会考试了,安心备战高考,想要练习的可以来做做看哦!山东智慧上进202
2024届河北省高三下学期5月数学猜题信息卷答案
2024-05-25 16:17:20
小编这次收集整理的是2024届河北省高三下学期5月的数学猜题信息卷答案,这个也是押题练习,出题难度接近高考难度,想要练习的可以来做做看哦,这个是新高考模式的!2024届河北省高三