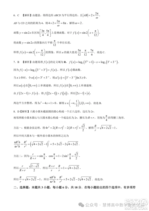
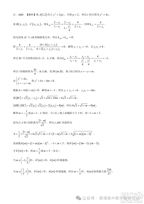
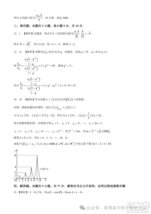
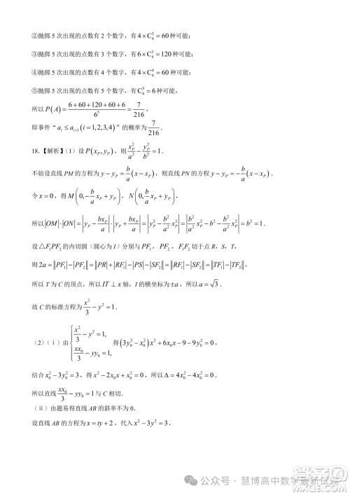
小编这次收集整理的是2024届湘豫名校联考高三下学期第四次模拟考试的数学试题答案,本试卷共6页,时间120分钟,满分150分,想要练习的可以来做做看哦,看看自己目前还有哪些提醒不会吧!

答案如下,仅供参考!
















2024届广东高三5月南粤名校联考24065C数学试题答案
2024-05-17 10:07:38
小编这次收集整理的是2024届广东高三5月南粤名校联考24065C的数学试题答案,这个也是金太阳联考广东地区的,想要做做看的可以来试试,做完了之后可以根据答案解析来自我评估分数!2
2024届广东高三5月适应性考试24508C数学试题答案
2024-05-17 09:59:41
小编这次收集整理的是2024届广东高三5月适应性考试24508C的数学试题答案,这个也是金太阳联考的试卷,本试卷主要考试内容为高考全部内容,想要练习的可以来做做看哦!2024届广东高
苏锡常镇四市2024届高三下学期教学情况调研考试数学试题答案
2024-05-15 16:59:36
小编这次收集整理的是苏锡常镇四市2024届高三下学期教学情况调研考试的数学试题答案,本试卷满分150分,考试时间120分钟,这个是江苏地区的四市区联考,想要练习的可以来做做看哦,根
2024年5月浙江北斗星盟竞赛强基联考数学试题答案
2024-05-15 14:44:20
小编这次收集整理的是2024年5月浙江北斗星盟竞赛强基联考的数学试题答案,这次的也适用于江浙地区的高三练习,难度相对普通试卷高一些,也有训练意义,想要做做看的,快来试试吧,看看