小编这次收集整理的是厦门市2024届高三毕业班第四次质量检测的数学试题答案,这次的福建各个地区的都在四检考试,出题难度也还可以,福建地区的学子可以拿各地市的来模拟练习一下,针对性的复习巩固!

答案如下,仅供参考!













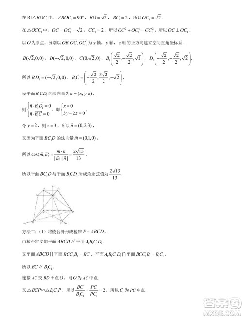
福建省漳州市2024届高三毕业班第四次教学质量检测数学试卷答案
2024-05-09 09:01:40
小编这次收集整理的是福建省漳州市2024届高三毕业班第四次教学质量检测的数学试卷答案,本试卷一共4页,满分150分,这个系列的还是非常不错的,感兴趣的可以来做做看哦!福建省漳州市
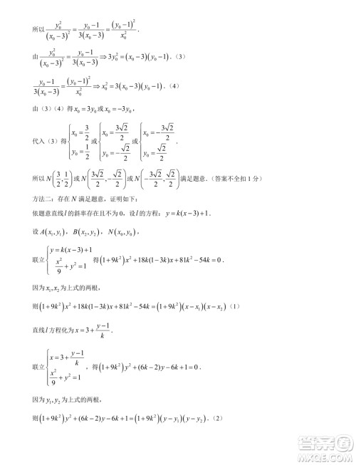
泉州市2024届高中毕业班适应性练习卷数学试题答案
2024-05-08 15:57:19
小编这次收集整理的是泉州市2024届高中毕业班适应性练习卷的数学试题答案,本试卷共19题,满分150分,共8页,考试用时120分钟,想要练习一下的可以来做做看哦!泉州市2024届高中毕业班
2024届江苏南通扬州泰州七市高三第三次调研测试数学试题答案
2024-05-07 16:57:31
小编这次收集整理的是2024届江苏南通扬州泰州七市高三第三次调研测试的数学试题答案,本试卷满分150分,考试时间120分钟,这个系列的考试还是非常值得练习的,感兴趣的可以来做做看
2024届龙岩高中毕业班五月质检三模数学试题答案
2024-05-07 16:20:26
小编这次收集整理的是2024届龙岩高中毕业班五月质检三模的数学试题答案,这个是龙岩市的高三五月联考数学试卷,做完了之后根据解析得分点来自我评估,查缺补漏,抓紧时间赶紧复习吧