小编整理了龙岩市2024届高三下学期3月份教学质量检测数学试题参考答案,感兴趣的可以对照看看。在高三下学期,数学科目的备考难度不低,大家务必把握住考试机会,考完记得反思,争取有效提分。

答案如下:












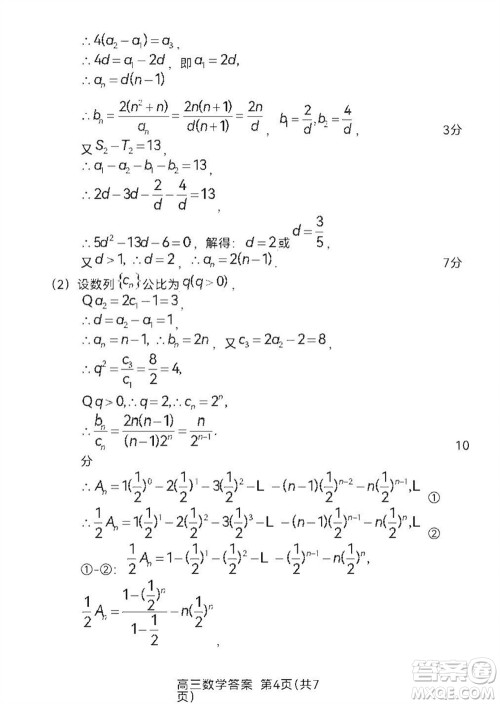
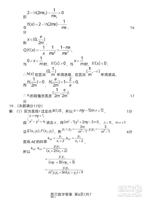
石家庄市2024届高三下学期3月份教学质量检测一数学参考答案
2024-03-09 09:58:24
在高三下学期,数学科目的备考内容不少,每次考试之后都得查漏补缺,争取有效提升自己的能力。小编整理了石家庄市2024届高三下学期3月份教学质量检测一数学参考答案,感兴趣的可以
成都石室中学2024届高三下学期二诊模拟考试理科数学A卷参考答案
2024-03-08 10:21:13
在高三下学期,学生们的备考压力很大,数学科目是重点,想要拿到好成绩就得多花时间,考试之后做好错题整理。今天搜集了成都石室中学2024届高三下学期二诊模拟考试理科数学A卷参考
成都石室中学2024届高三下学期二诊模拟考试文科数学A卷参考答案
2024-03-08 10:15:32
小编整理了成都石室中学2024届高三下学期二诊模拟考试文科数学A卷参考答案,内容丰富,感兴趣的可以看过来。对于高三生来说,数学科目的备考难度不低,尤其到了下学期,大家要珍惜考
浙江强基联盟2024届高三下学期3月份联考化学试题参考答案
2024-03-08 09:51:54
在高三下学期,化学科目的备考难度不低,大家要做好积极准备,争取拿到好成绩。今天分享浙江强基联盟2024届高三下学期3月份联考化学试题参考答案,内容丰富,感兴趣的可以对照看看。