在高三上学期,数学科目的备考要多花心思,尤其是各种考试,大家务必要把握住机会,争取考完有所收获。小编整理了漳州市2024届高三上学期毕业班第二次质量检测数学试题参考答案,一起来看看吧。

答案如下:











连云港市2023-2024学年高三上学期期末调研测试数学试卷参考答案
2024-01-31 10:26:53
在高三年级,数学科目的备考难度很大,期末考试机会得把握住,考完务必积极反思,这样才能有效提分。小编整理了连云港市2023-2024学年高三上学期期末调研测试数学试卷参考答案,赶紧
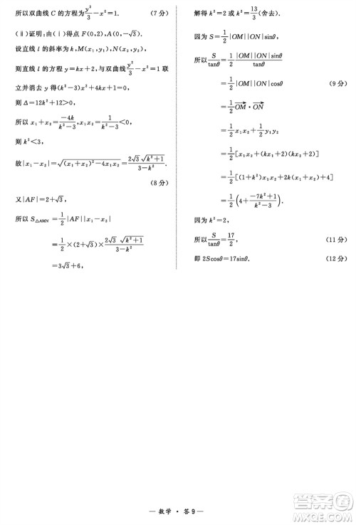
常州市2024届高三上学期1月份教育学会学业水平监测数学参考答案
2024-01-30 11:51:42
我们知道,数学科目的备考要多花心思,期末考试结束之后务必查漏补缺,争取把知识点掌握清楚。小编搜集了常州市2024届高三上学期1月份教育学会学业水平监测数学参考答案,赶紧看过
长郡中学2024届高三上学期期末适应性考试英语参考答案
2024-01-30 11:24:29
对于高三生来说,期末考试是很重要的,想要拿到好成绩就得多花心思,该做的练习要积极完成。小编分享长郡中学2024届高三上学期期末适应性考试英语参考答案,感兴趣的可以对照看看。
陕西省2024届高三上学期1月份教学质量检测试题一英语参考答案
2024-01-30 11:10:17
今天分享陕西省2024届高三上学期1月份教学质量检测试题一英语参考答案,感兴趣的可以看过来。在高三上学期,英语科目的备考要求不低,每次考试都是好机会,大家务必得把握住。陕西