在高三上学期,数学科目的备考压力不小,每天都会经历考试,大家得把握住机会,这样才能有效提分。今天分享三门峡市2023-2024学年高三上学期1月份第一次大练习数学参考答案,一起来看看吧。

答案如下:










岳阳市2024届高三上学期教学质量监测一英语试卷参考答案
2024-01-29 14:58:58
我们知道,高三年级的英语科目备考难度不低,考试结束之后要积极反思,争取有所收获。今天整理了岳阳市2024届高三上学期教学质量监测一英语试卷参考答案,感兴趣的可以对照了解。岳
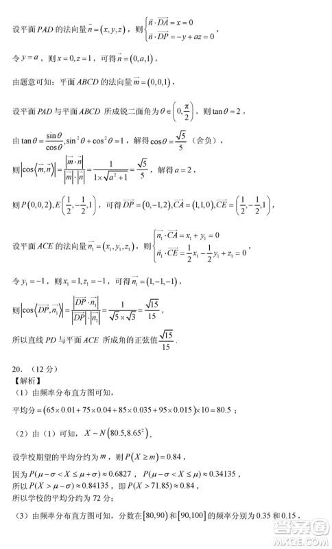
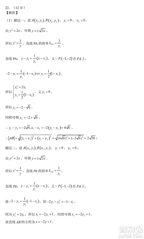
岳阳市2024届高三上学期教学质量监测一数学试卷参考答案
2024-01-29 14:41:34
小编整理了岳阳市2024届高三上学期教学质量监测一数学试卷参考答案,感兴趣的可以看过来。对于高三生来说,数学科目的备考难度很大,每天除了复习就是考试,大家得把握住机会。注意
大理州2024届高中毕业生第二次复习统一检测英语参考答案
2024-01-29 14:33:58
在高三年级,英语科目的备考要求不低,考试结束之后要做好错题整理,这样才能有效提分。小编整理了大理州2024届高中毕业生第二次复习统一检测英语参考答案,感兴趣的可以对照了解。
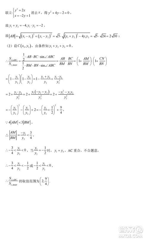
阳泉市2023-2024学年高三上学期期末教学质量监测试题数学参考答案
2024-01-29 10:55:36
对于高三生来说,期末考试是很重要的,大家务必得把握住机会,考完记得反思,争取有所收获。今天整理了阳泉市2023-2024学年高三上学期期末教学质量监测试题数学参考答案,赶紧看过来