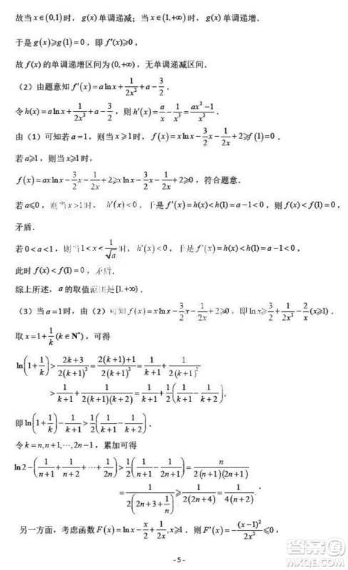
在高三年级,学生们会经历各种考试,其中期末考试很重要,大家务必得把握住机会,争取拿到好成绩。今天整理了2024年1月济南市高三期末学情检测数学试题参考答案,感兴趣的看过来,希望能帮到你们。

答案如下:










辽宁省部分学校2024届高三上学期1月期末考试数学试题答案
2024-01-17 18:13:46
小编这次收集整理的是辽宁省部分学校2024届高三上学期1月期末考试的数学试题答案,这套试卷是由抚顺二中命题的,想要练习一下的可以来看看。本次考试试卷也适用于东北地区其他
2024届高三上学期浙江省教改共同体1月联考英语参考答案
2024-01-17 15:52:25
在高三上学期,学生们要重视英语科目的备考,考试结束之后积极反思,做好错题整理。今天分享2024届高三上学期浙江省教改共同体1月联考英语参考答案,内容新颖,感兴趣的可以对照看看
2024年大连市高三上学期1月份双基测试物理参考答案
2024-01-17 15:40:49
小编搜集了2024年大连市高三上学期1月份双基测试物理参考答案,内容新颖,感兴趣的可以对照看看。在高三上学期,学生们的备考压力很大,考试机会务必得把握住,考完不能忘记反思。此
昆明市2024届高三上学期三诊一模摸底诊断测试英语参考答案
2024-01-17 15:27:31
对于高三年级的学生来说,英语科目的备考难度不低,每次考试都得认真对待,考完记得查漏补缺。今天搜集了昆明市2024届高三上学期三诊一模摸底诊断测试英语参考答案,一起来看看,答案