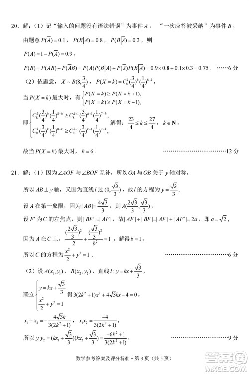
对于高三生来说,考试是检验备考结果的重要手段,大家务必得把握住,争取提升自己的能力。今天搜集了昆明市2024届高三上学期三诊一模摸底诊断测试数学参考答案,一起来看看,希望能帮到你们。

答案如下:











河北省衡中同卷2024届高三上学期1月考试数学参考答案
2024-01-17 15:12:56
今天整理了河北省衡中同卷2024届高三上学期1月考试数学参考答案,内容丰富,感兴趣的可以对照了解。在高三上学期,学生们要珍惜考试机会,争取考完之后有所收获。当然,这份答案仅供
2024年大连市高三上学期1月份双基测试数学参考答案
2024-01-17 14:54:08
在高三年级,学生们的备考压力非常大,每次考试结束之后都得积极反思,争取下次拿到好成绩。今天分享2024年大连市高三上学期1月份双基测试数学参考答案,感兴趣的可以看过来,希望能
绵阳市高中2021级第二次诊断性考试文科数学试卷答案
2024-01-16 18:16:23
小编这次收集整理的是绵阳市高中2021级第二次诊断性考试的文科数学试卷答案,还有理科数学的试卷和习题解析,站内直接搜绵阳就可以了,这个是1月13日的考试,做完了之后根据解析评
绵阳市高中2021级第二次诊断性考试理科数学试卷答案
2024-01-16 17:49:36
小编这次收集整理的是2024年1月13日考试的绵阳市高三二诊的理科数学试卷习题和参考答案,这个系列的还有文科数学试卷,想要练习的可以站内直接搜绵阳就可以搜到,希望多练习多提