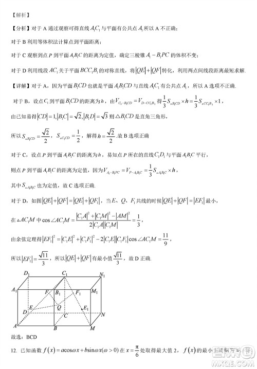
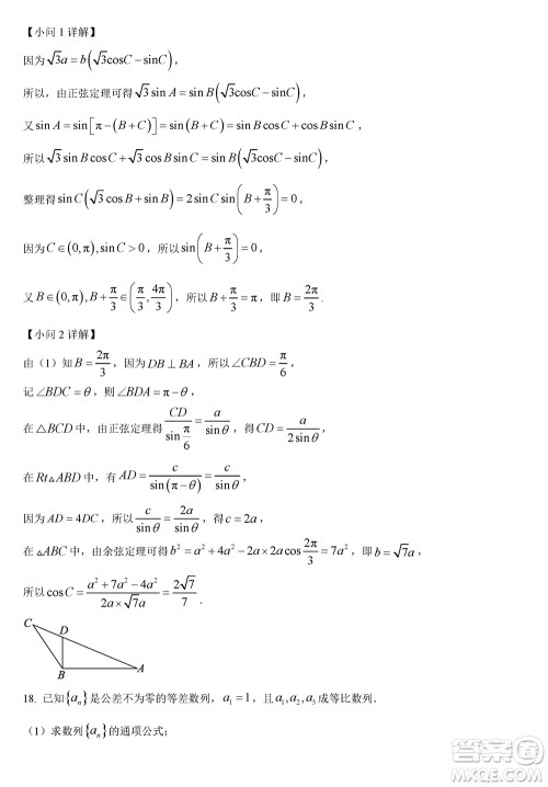
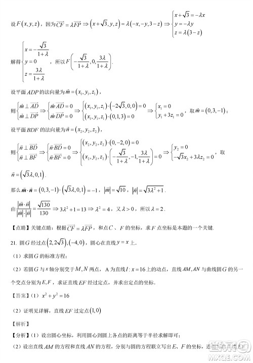
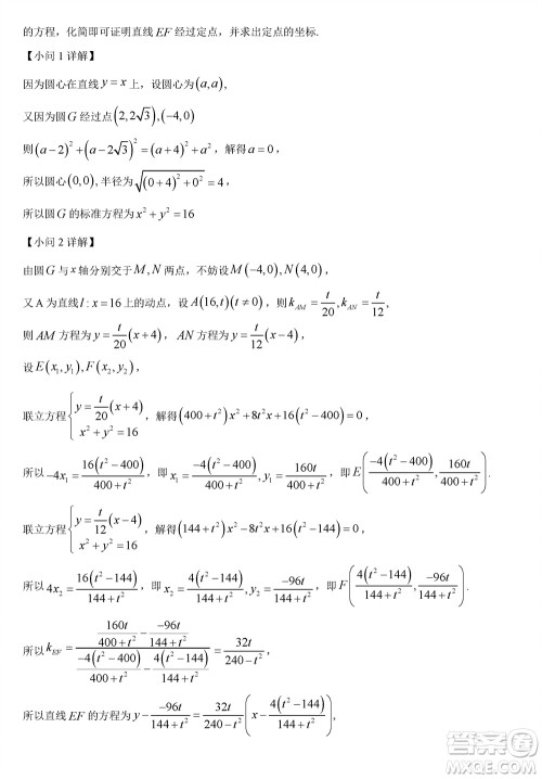
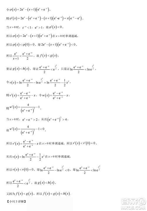
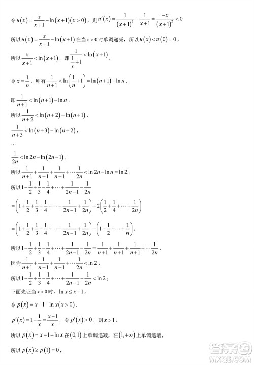
在高三年级,数学科目的备考难度很大,每次考试都是检验效果的途径,大家务必得把握住机会。今天分享哈三中2023-2024学年高三上学期期末考试数学参考答案,内容丰富,欢迎大家积极查阅。

答案如下:























江苏省2023-2024学年高三上学期期末迎考卷地理参考答案
2024-01-06 10:31:18
今天分享江苏省2023-2024学年高三上学期期末迎考卷地理参考答案,内容新颖,感兴趣的可以看过来。这是为高三生搜集到的考试试题及答案,希望能帮到你们。当然,答案仅供参考,不理解
江苏省2023-2024学年高三上学期期末迎考卷历史参考答案
2024-01-06 10:20:10
到了高三年级,学生们的备考压力非常大,他们会经历各种考试,想要拿到好成绩就得把握住机会。今天搜集了江苏省2023-2024学年高三上学期期末迎考卷历史参考答案,内容丰富,感兴趣的
江苏省2023-2024学年高三上学期期末迎考卷政治参考答案
2024-01-06 10:09:45
我们知道,高三年级的政治科目备考要多背多思考,考试结束后务必做好反思,争取把丢分问题解决好。小编整理了江苏省2023-2024学年高三上学期期末迎考卷政治参考答案,一起来看看吧
江苏省2023-2024学年高三上学期期末迎考卷生物参考答案
2024-01-06 09:59:06
对于高三年级的学生来说,生物科目的备考要求不低,每次考试结束之后都得做好错题整理工作,争取把丢分的内容搞清楚。今天分享江苏省2023-2024学年高三上学期期末迎考卷生物参考