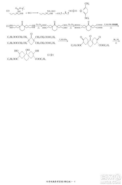
对于高三年级的学生来说,化学科目的备考难度不低,每次考试之后要做好错题整理,争取把丢分的知识点掌握好。小编搜集了大联考雅礼中学2024届高三上学期12月月考试卷四化学参考答案,感兴趣的可以对照看看。

答案如下:














大联考雅礼中学2024届高三上学期12月月考试卷四物理参考答案
2023-12-27 14:01:57
我们知道,高中阶段的物理科目学习难度大,到了高三年级,大家想拿到好成绩就得把握住机会。不管是做练习还是参加考试,最后一定要有所收获。小编整理了大联考雅礼中学2024届高三上
大联考雅礼中学2024届高三上学期12月月考试卷四英语参考答案
2023-12-27 13:48:17
对于高三生来说,联考机会很重要,大家的认真把握住,不管是考得好还是差,考完记得积极查漏补缺。小编搜集了大联考雅礼中学2024届高三上学期12月月考试卷四英语参考答案,内容新颖,一
大联考雅礼中学2024届高三上学期12月月考试卷四数学参考答案
2023-12-27 13:37:16
今天整理了大联考雅礼中学2024届高三上学期12月月考试卷四数学参考答案,感兴趣的可以对照了解。其实,高三年级的考试机会非常多,大家要认真对待,考完务必查漏补缺,这样才能拿到好
三湘名校教育联盟2024届高三上学期第二次大联考物理试题参考答案
2023-12-27 11:47:18
到了高三上学期,物理科目的备考压力不小,每天都得珍惜机会,尤其是考完试,争取把丢分的问题搞清楚。小编整理了三湘名校教育联盟2024届高三上学期第二次大联考物理试题参考答案,欢