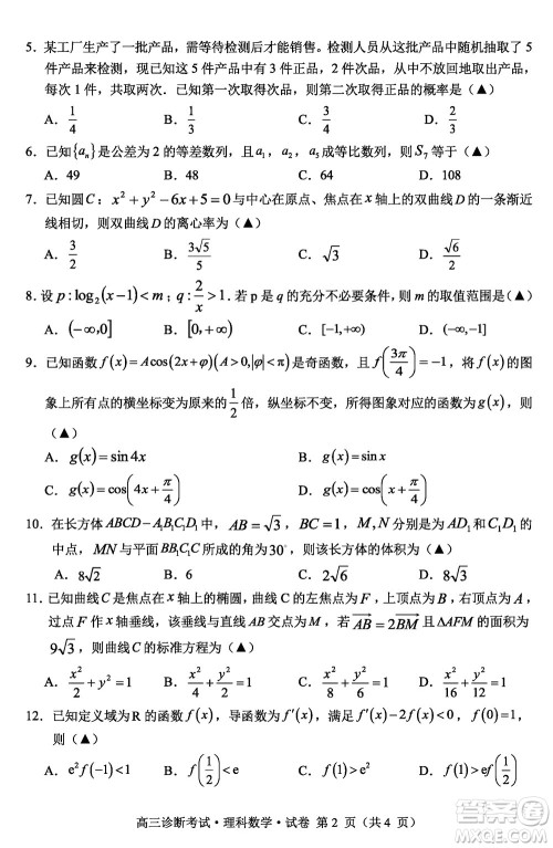
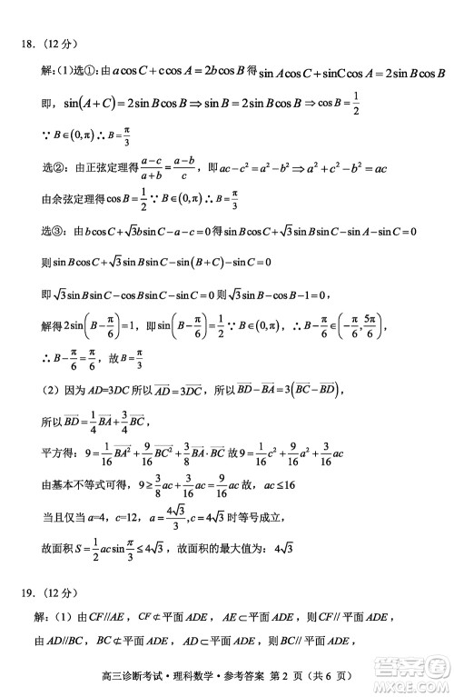
在高三上学期,学生们会经历各种考试,数学科目想要拿到好成绩就得把握住机会,争取提升自己的能力。小编搜集了甘孜州普通高中2024届高三上学期第一次诊断考试理科数学参考答案,一起来了解吧,希望能帮到你们。

答案如下:










甘孜州普通高中2024届高三上学期第一次诊断考试文科数学参考答案
2023-12-22 11:18:21
小编搜集了甘孜州普通高中2024届高三上学期第一次诊断考试文科数学参考答案,内容新颖,大家可以对照查阅。对于高三生来说,数学科目的备考要把握住考试机会,争取把知识点掌握清楚
重庆部分学校2024届高三上学期12月第四次联考数学参考答案
2023-12-22 11:03:36
对于高三生来说,数学科目的备考压力不小,考试是检验成果的重要方式,大家务必得把握住。今天分享重庆部分学校2024届高三上学期12月第四次联考数学参考答案,内容丰富,感兴趣的可以
九师联盟联考2024届高三12月质量检测新教材地理试题参考答案
2023-12-22 10:54:29
在高三上学期,地理科目的备考要求不低,每次考试结束后记得做好错题整理,争取把丢分的问题解决好。小编搜集了九师联盟联考2024届高三12月质量检测新教材地理试题参考答案,感兴趣
九师联盟联考2024届高三12月质量检测新教材历史试题参考答案
2023-12-22 10:49:36
今天整理了九师联盟联考2024届高三12月质量检测新教材历史试题参考答案,内容丰富,感兴趣的可以对照查阅。我们知道,高三年级的备考很难,但付出总会有收获,大家务必得坚持住,千万不