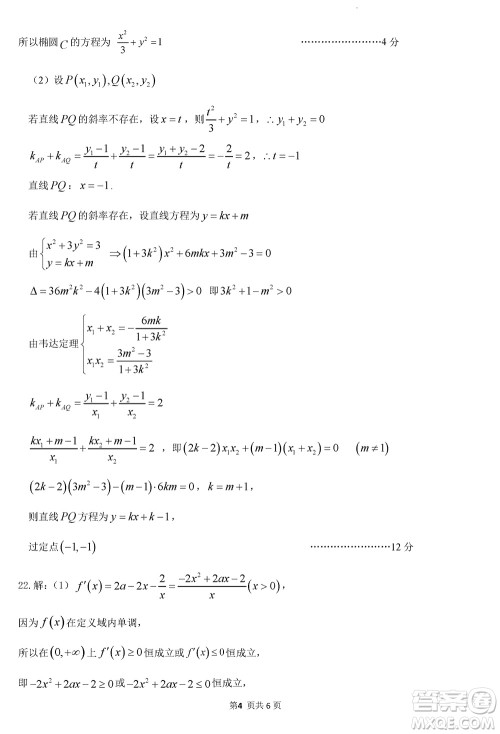
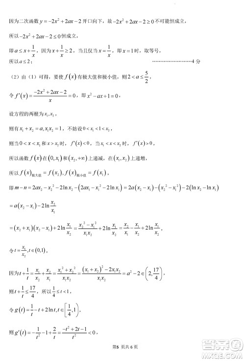
我们知道,高三年级的数学科目备考难度很大,除了认真完成练习,考试机会一定要把握住,这样才能有效提分。小编搜集了无锡四校2024届高三上学期12月学情调研试卷数学参考答案,感兴趣的可以看过来。

答案如下:










江苏五市十一校2024届高三上学期12月阶段联测数学参考答案
2023-12-20 15:41:52
在高三上学期,数学科目的备考难度很大,每次考试结束记得查漏补缺,这样才能把知识点掌握透彻。今天整理了江苏五市十一校2024届高三上学期12月阶段联测数学参考答案,赶紧看过来,希
云南省金太阳2024届高三上学期12月联考24-199C语文参考答案
2023-12-20 15:23:07
对于高三生来说,语文科目的备考要多花心思,尤其是考试结束之后记得做整理,争取把丢分的问题解决好。小编分享云南省金太阳2024届高三上学期12月联考24-199C语文参考答案,一起来
2024年1月高三上学期七省联考考前猜想卷化学参考答案
2023-12-20 15:09:20
在高三上学期,学生们的考试机会很多,每次结束之后要积极反思,争取有所收获,这样才能有效提分。今天整理了2024年1月高三上学期七省联考考前猜想卷化学参考答案,内容新颖,感兴趣的
浙江省四校联盟联考2024届高三上学期12月化学试题参考答案
2023-12-20 14:54:03
对于高三生来说,化学科目的备考要多花时间,考试之后务必做好整理工作,争取把丢分的内容搞清楚。今天分享浙江省四校联盟联考2024届高三上学期12月化学试题参考答案,感兴趣的可以