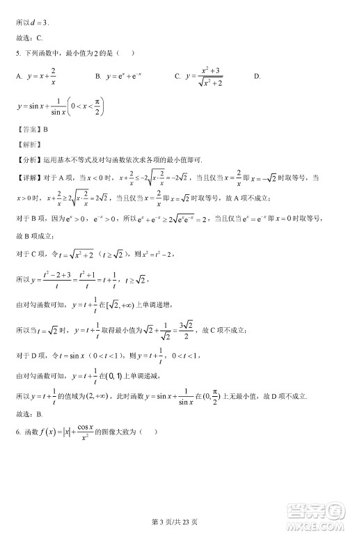
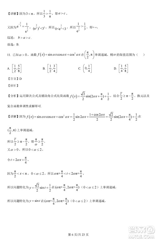
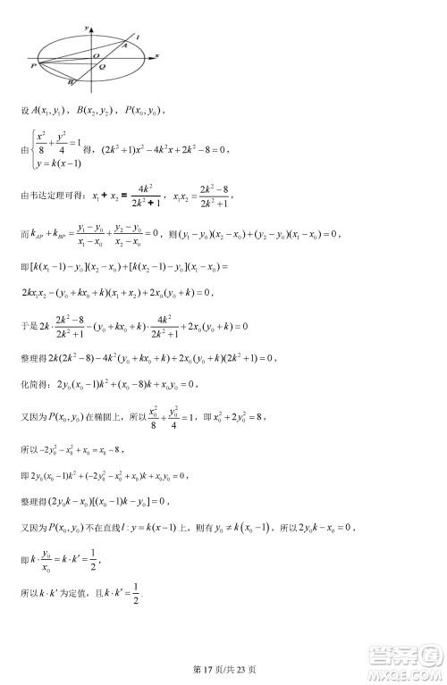
今天整理了汉中市高中联盟学校2024届高三上学期联考理科数学参考答案,内容丰富,感兴趣的可以对照看看。在高三上学期,数学科目的备考压力不小,每次考试结束之后务必查漏补缺,争取把丢分的问题解决好。

答案如下:






















重庆乌江新高考协作体2024届高三上学期12月期中学业质量联合调研抽测地理答案
2023-12-05 11:20:09
在高三年级,地理科目的备考不容易,想要拿到好成绩就得把握住考试机会,争取提升自己的能力。小编分享重庆乌江新高考协作体2024届高三上学期12月期中学业质量联合调研抽测地理答
重庆乌江新高考协作体2024届高三上学期12月期中学业质量联合调研抽测政治答案
2023-12-05 11:05:00
在高三年级,学生们要关注政治科目的备考情况,尤其是考试之后,大家务必做好错题整理,这样才能有效提分。小编整理了重庆乌江新高考协作体2024届高三上学期12月期中学业质量联合调
重庆乌江新高考协作体2024届高三上学期12月期中学业质量联合调研抽测生物答案
2023-12-05 10:58:19
对于高三生来说,生物科目的备考不简单,每次考试结束之后记得认真反思,努力把丢分的问题解决好。小编整理了重庆乌江新高考协作体2024届高三上学期12月期中学业质量联合调研抽测
金丽衢十二校2024届高三上学期12月第一次联考政治参考答案
2023-12-05 10:49:06
到了高三年级,政治科目的备考要多背多思考,平时的考试机会得把握住,争取有所收获。小编分享金丽衢十二校2024届高三上学期12月第一次联考政治参考答案,内容新颖,感兴趣的可以看过