在高三年级,学生们的备考压力很大,数学科目是重点,每天下课之后要坚持做练习,这样才能有效提分。小编分享哈师大附中2021级高三上学期第三次调研考试数学参考答案,感兴趣的看过来,切勿照抄哦!

答案如下:























重庆乌江新高考协作体2024届高三上学期12月期中学业质量联合调研抽测物理答案
2023-12-04 11:40:08
到了高三年级,物理科目的备考压力不小,大家想拿到好成绩就得把握考试机会,考完务必查漏补缺。小编分享重庆乌江新高考协作体2024届高三上学期12月期中学业质量联合调研抽测物理
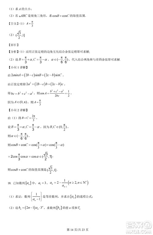
江苏省2024届高三上学期11月仿真模拟考试三数学参考答案
2023-12-04 09:19:36
到了高三年级,数学科目的备考要抓住机会,每次考试结束之后记得做好反思,争取把丢分的问题解决。小编分享江苏省2024届高三上学期11月仿真模拟考试三数学参考答案,内容新颖,赶紧看
湖南天壹名校联盟2024届高三上学期11月质量检测试题化学答案
2023-12-04 09:04:15
在高三年级,化学科目的备考难度不低,大家想拿到好成绩就得把握住考试机会,努力提升自己的能力。小编分享湖南天壹名校联盟2024届高三上学期11月质量检测试题化学答案,赶紧看过来
淮安市高中校协作体2023-2024学年高三上学期11月期中联考英语参考答案
2023-12-04 08:46:05
在高三年级,英语科目的备考要多花心思,课余时间务必得把握住,争取把知识点掌握清楚。小编分享淮安市高中校协作体2023-2024学年高三上学期11月期中联考英语参考答案,赶紧看过来