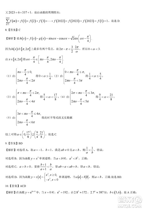
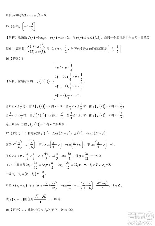
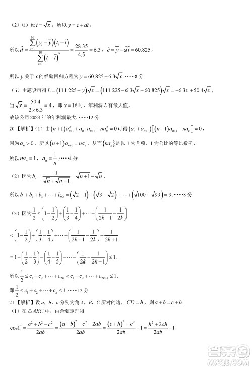
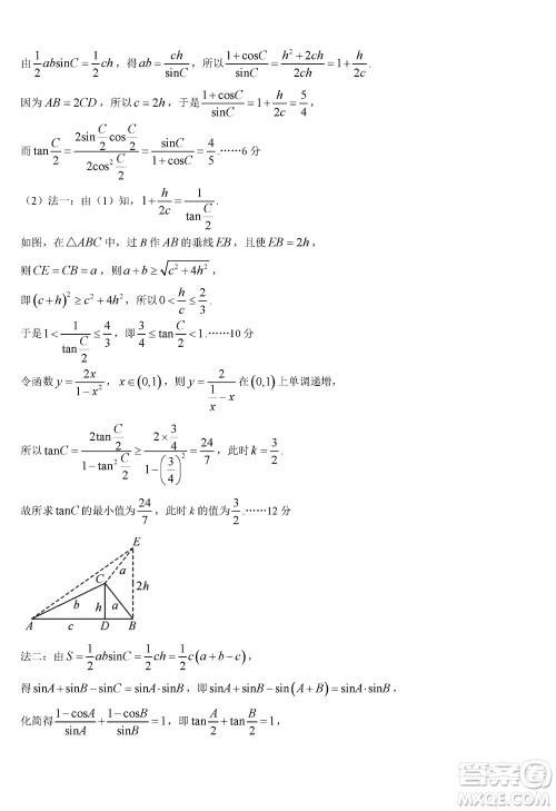
在高三上学期,数学科目的备考内容不少,每天下课后记得做练习,争取提升效率。当然,平时的考试机会也得利用起来。小编搜集了湖南天壹名校联盟2024届高三上学期11月质量检测试题数学答案,感兴趣的可以对照看看。

答案如下:
















淮安市高中校协作体2023-2024学年高三上学期11月期中联考物理参考答案
2023-12-02 15:40:35
进入高三年级,上学期的考试非常多,物理科目想拿到好成绩就得把握住机会,考完务必查漏补缺,争取把丢分的内容搞清楚。小编整理了淮安市高中校协作体2023-2024学年高三上学期11月
齐齐哈尔普高联谊2024届高三上学期第三次月考物理参考答案
2023-12-02 15:34:29
对于高三生来说,物理科目的备考难度不低,大家要珍惜时间,课下务必勤做练习,争取把知识点掌握好。小编分享齐齐哈尔普高联谊2024届高三上学期第三次月考物理参考答案,感兴趣的可以
齐齐哈尔普高联谊2024届高三上学期第三次月考数学参考答案
2023-12-02 15:25:30
在高三年级,数学科目的备考压力很大,每次考试结束之后要积极反思,争取把丢分的问题解决。小编整理了齐齐哈尔普高联谊2024届高三上学期第三次月考数学参考答案,内容新颖,感兴趣的
淮安市高中校协作体2023-2024学年高三上学期11月期中联考数学参考答案
2023-12-02 09:54:43
在高三年级,上学期的备考很重要,大家务必抓住机会,课下也得珍惜时间,争取提升自己的能力。小编分享淮安市高中校协作体2023-2024学年高三上学期11月期中联考数学参考答案,赶紧看