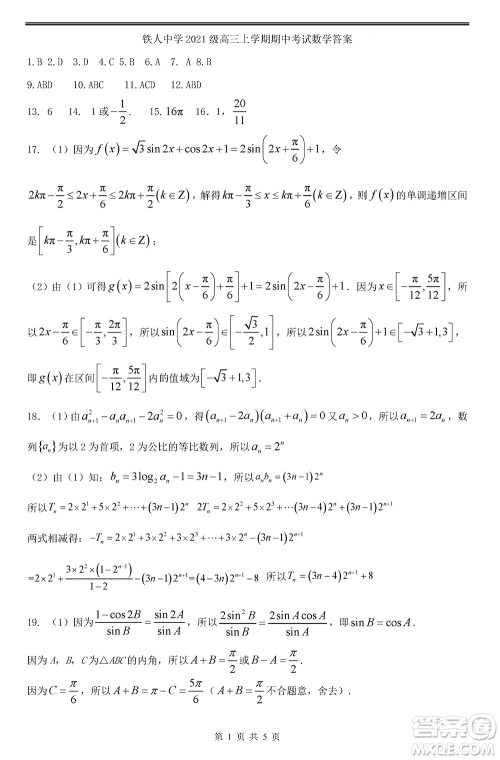
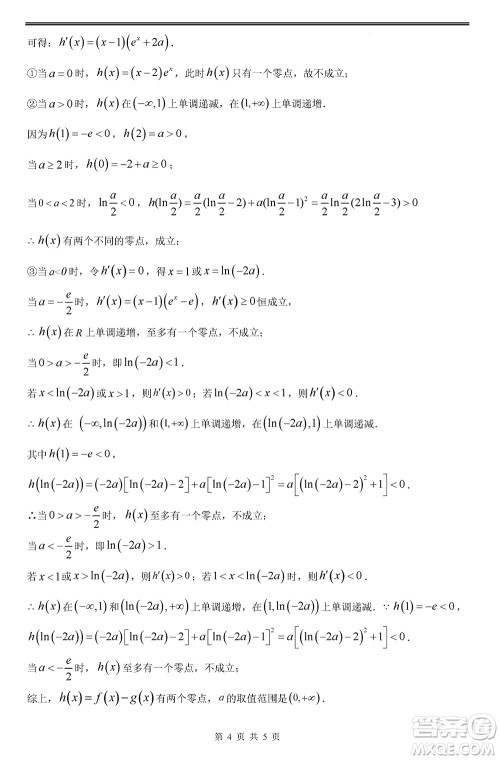
到了高三年级,数学科目的备考务必得用心,该做的练习一定要认真完成,考试机会也得把握住。小编分享铁人中学2021级高三上学期11月期中考试数学参考答案,内容丰富,感兴趣的看过来吧。

答案如下:






广东粤光联考2024届高三11月第二次调研考试物理参考答案
2023-12-01 10:01:16
进入高三年级,物理科目的备考要多花心思,不管是课上还是课下,大家都得抓住机会,争取把知识点巩固好。小编分享广东粤光联考2024届高三11月第二次调研考试物理参考答案,感兴趣的可
广东粤光联考2024届高三11月第二次调研考试数学参考答案
2023-12-01 09:51:24
到了高三年级,数学科目的备考要求不低,每次考试结束之后记得查漏补缺,努力把丢分的问题解决好。小编分享广东粤光联考2024届高三11月第二次调研考试数学参考答案,感兴趣的可以看
曲靖一中2024届高三上学期11月教学质量监测试卷四数学参考答案
2023-12-01 09:42:28
在高三年级,学生们会经历各种考试,数学科目想要拿到好成绩就得把握住机会,考完务必反思,争取有所收获。小编分享曲靖一中2024届高三上学期11月教学质量监测试卷四数学参考答案,感
莆田市2023年秋五校联盟高三上学期11月期中联考政治参考答案
2023-12-01 09:29:50
在高三年级,政治科目的备考要求不少,大家想拿到好成绩一定得把握住机会,考试结束要积极查漏补缺。小编分享莆田市2023年秋五校联盟高三上学期11月期中联考政治参考答案,感兴趣的