在高三上学期,数学科目的备考内容不少,不管是课上还是课下,大家务必要把握住机会,争取把知识点搞清楚。小编整理了陕西长安一中2021级高三生上学期第三次教学质量检测文科数学答案,一起来了解吧。

答案如下:

























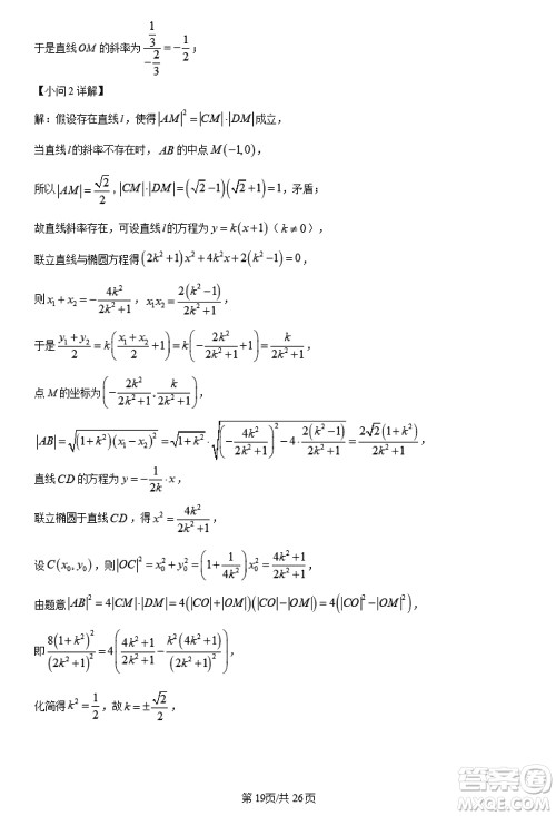
陕西长安一中2021级高三生上学期第三次教学质量检测理科数学答案
2023-11-30 16:12:43
对于高三生来说,数学科目的备考要抓住机会,比如考试,大家得积极查漏补缺,争取把丢分的内容搞清楚。今天分享陕西长安一中2021级高三生上学期第三次教学质量检测理科数学答案,赶紧
莆田市2023年秋五校联盟高三上学期11月期中联考物理参考答案
2023-11-30 16:04:07
进入高三年级,生物科目的备考要多花心思,尤其是考试之后,大家务必做好查漏补缺的工作,这样才能有效提分。小编分享莆田市2023年秋五校联盟高三上学期11月期中联考物理参考答案,感
华大新高考联盟2024届高三11月教学质量测评江西卷物理参考答案
2023-11-30 15:48:54
到了高三年级,物理科目的备考要求不低,大家想拿到好成绩就得把握住考试机会,争取把知识点掌握清楚。小编分享华大新高考联盟2024届高三11月教学质量测评江西卷物理参考答案,赶紧
成都石室中学2023-2024学年高三上学期11月期中考试文科数学答案
2023-11-30 15:36:54
在高三上学期,数学科目的备考要抓住机会,尤其是考试之后得反思自己,争取把丢分的知识点捡起来。小编分享成都石室中学2023-2024学年高三上学期11月期中考试文科数学答案,感兴趣