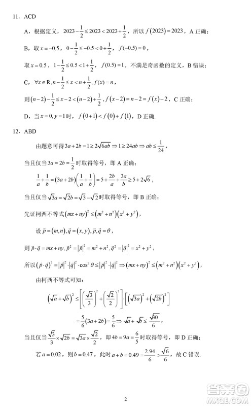
在高三年级,数学科目的备考要求不少,每次考完试记得反思自己,争取把知识点掌握清楚。小编分享珠海市金砖四校2023-2024学年高三上学期11月联考数学参考答案,感兴趣的可以对照了解,希望能帮到你们。

答案如下:












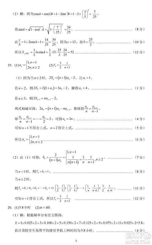
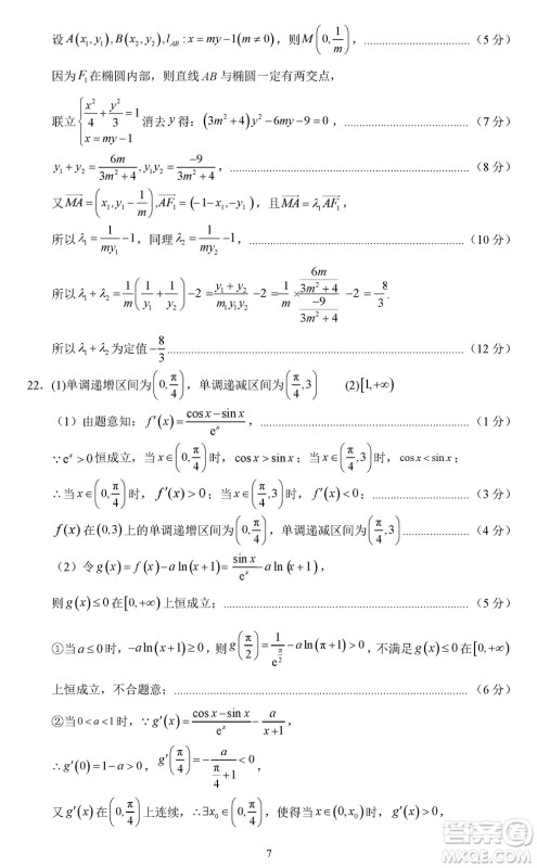
淄博市2023-2024学年高三上学期11月期中检测数学参考答案
2023-11-29 09:25:23
对于高三生来说,数学科目的备考难度很高,想要拿到好成绩就得多做练习,遇到考试也得把握住机会。小编分享淄博市2023-2024学年高三上学期11月期中检测数学参考答案,内容丰富,赶紧
湖南天一大联考2024届高三上学期11月第三次考试物理参考答案
2023-11-29 09:17:07
在高三年级,物理科目的备考要求不低,每次考试结束之后都得积极查漏补缺,争取把丢分的内容捡起来。小编分享湖南天一大联考2024届高三上学期11月第三次考试物理参考答案,赶紧看过
湖南天一大联考2024届高三上学期11月第三次考试地理参考答案
2023-11-28 17:53:49
小编分享湖南天一大联考2024届高三上学期11月第三次考试地理参考答案,感兴趣的可以看过来。对于高三生来说,地理科目的备考难度不低,大家想拿到好成绩就得多花心思,课下时间务必得把
湖南天一大联考2024届高三上学期11月第三次考试数学参考答案
2023-11-28 17:44:36
在高三年级,数学科目的备考压力很大,每次考试结束只会记得查漏补缺,争取把丢分的内容搞清楚。小编分享湖南天一大联考2024届高三上学期11月第三次考试数学参考答案,感兴趣的可以看过