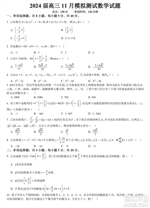
小编分享重庆西南大学附属中学2024届高三11月模拟测试数学答案,感兴趣的可以看过来。这是为高三年级学生搜集到的数学试题及答案,内容丰富,希望能帮到你们。当然,答案仅供参考哦,不理解的要重点关注!

答案如下:
















2023年11月浙江稽阳联谊学校高三联考数学参考答案
2023-11-22 16:52:40
在高三年级,数学科目的备考要勤做练习,除了课堂上,课下也得把握住时间,千万别偷懒。今天分享2023年11月浙江稽阳联谊学校高三联考数学参考答案,感兴趣的可以对照看看,希望能帮到你
2024届山东普高大联考高三上学期11月联合质量测评物理答案
2023-11-22 16:27:04
在高三年级,物理科目的备考难度很大,学生们要把握住考试机会,尤其是联考,结束之后记得反思。今天分享2024届山东普高大联考高三上学期11月联合质量测评物理答案,感兴趣的可以对照
2024届山东普高大联考高三上学期11月联合质量测评政治答案
2023-11-22 16:13:44
小编分享2024届山东普高大联考高三上学期11月联合质量测评政治答案,感兴趣的可以看过来。对于高三生来说,政治科目的备考难度不低,大家想拿到好成绩就得把握住机会,考试结束后积
2024届山东普高大联考高三上学期11月联合质量测评英语答案
2023-11-22 15:26:33
进入高三年级,英语科目的备考要多花心思,每次考试结束之后记得查漏补缺,争取把知识点掌握透彻。小编分享2024届山东普高大联考高三上学期11月联合质量测评英语答案,感兴趣的可以