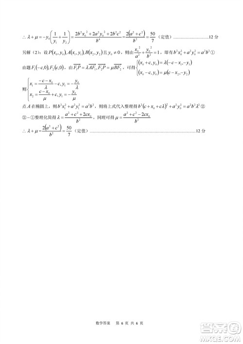
在高三年级,数学科目的备考要求很高,每天下课之后记得做练习,努力把知识点掌握清楚。小编分享贵州名校协作体2023-2024学年高三上学期11月联考一数学参考答案,感兴趣的可以看过来,希望能帮到你们。

答案如下:










贵州名校协作体2023-2024学年高三上学期11月联考一语文参考答案
2023-11-22 09:07:17
在高三年级,语文科目的备考要多花心思,平时的考试机会一定要把握住,考完记得反思。今天分享贵州名校协作体2023-2024学年高三上学期11月联考一语文参考答案,感兴趣的看过来,希望
青岛市四区统考2023-2024学年高三上学期期中学业水平检测物理答案
2023-11-22 08:54:20
小编整理了青岛市四区统考2023-2024学年高三上学期期中学业水平检测物理答案,感兴趣的可以看过来。这是为高三年级学生搜集到的物理试题及答案,内容丰富,希望能帮到你们。注意,
青岛市四区统考2023-2024学年高三上学期期中学业水平检测数学答案
2023-11-21 17:48:32
在高三年级,数学科目的备考要多花心思,考试机会务必得把握住,争取把知识点巩固好,从而拿到高分。小编分享青岛市四区统考2023-2024学年高三上学期期中学业水平检测数学答案,赶紧
哈尔滨第九中学2024届高三上学期期中考试英语试题答案
2023-11-21 17:34:54
我们知道,高三年级的英语科目备考不简单,每次考试机会都得积极把握住,争取把知识点巩固好。今天分享哈尔滨第九中学2024届高三上学期期中考试英语试题答案,内容丰富,赶紧看过来吧