进入高三上学期,数学科目的备考要多多留心,课下务必勤做练习,这样才有机会拿到高分。小编整理了哈尔滨第九中学2024届高三上学期期中考试数学试题答案,感兴趣的可以对照看看,希望能帮到你们。

答案如下:









成都石室中学2023-2024学年高三上学期11月期中考试文科数学答案
2023-11-21 16:25:43
在高三上学期,期中考试是很重要的,大家考完之后务必要查漏补缺,争取把丢分的内容加强起来。小编整理了成都石室中学2023-2024学年高三上学期11月期中考试文科数学答案,感兴趣的
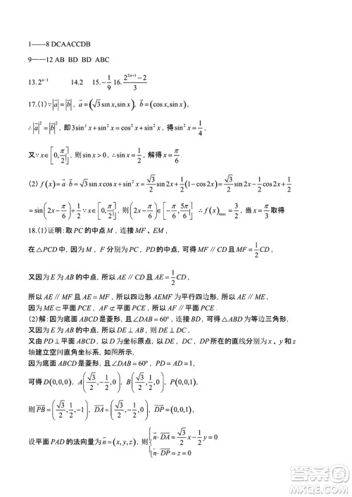
成都石室中学2023-2024学年高三上学期11月期中考试理科数学答案
2023-11-21 16:18:26
小编分享成都石室中学2023-2024学年高三上学期11月期中考试理科数学答案,感兴趣的可以看过来。在高三年级,数学科目的备考压力不小,大家得把握考试机会,结束之后记得反思,争取提
西南师大附中2023-2024学年高三上学期11月期中考试物理答案
2023-11-21 16:03:46
小编整理了西南师大附中2023-2024学年高三上学期11月期中考试物理答案,感兴趣的可以看过来。对于高三生来说,物理科目的备考要珍惜时间,课上和课下都得花心思,这样才能有效提升
石家庄市2024届高三上学期11月教学质量摸底检测语文试题答案
2023-11-21 15:50:52
在高三年级,语文科目的备考想拿到好成绩就得多花心思,考试机会务必得把握住,千万别偷懒。今天分享石家庄市2024届高三上学期11月教学质量摸底检测语文试题答案,感兴趣的看过来吧