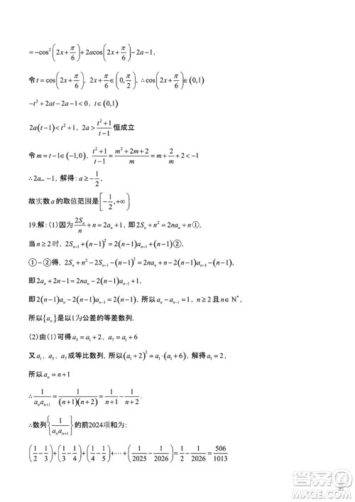
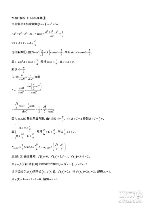
在高三年级,数学科目的备考难度很大,每次考试机会务必得把握住,考完一定要反思,争取把丢分的内容掌握好。小编整理了南阳市2023年秋高中三年级期中质量评估数学试题答案,感兴趣的看过来吧。

答案如下:









福建龙岩名校2023-2024学年高三上学期11月期中考试地理试题答案
2023-11-21 13:55:29
进入高三年级,考试纷至沓来,期中考试是重点,大家务必得把握住机会,考完记得查漏补缺。今天整理了福建龙岩名校2023-2024学年高三上学期11月期中考试地理试题答案,感兴趣的可以看
福建龙岩名校2023-2024学年高三上学期11月期中考试历史试题答案
2023-11-21 13:32:20
进入高三,历史科目想拿到好成绩就得多背多思考,平时的考试机会务必要把握住,争取提升自己的能力。小编分享福建龙岩名校2023-2024学年高三上学期11月期中考试历史试题答案,赶紧
福建龙岩名校2023-2024学年高三上学期11月期中考试政治试题答案
2023-11-21 11:48:49
今天分享福建龙岩名校2023-2024学年高三上学期11月期中考试政治试题答案,感兴趣的可以对照了解。对于高三生来说,期中考试是很重要的,大家考完之后记得反思自己,努力把丢分点捡
福建龙岩名校2023-2024学年高三上学期11月期中考试试题生物答案
2023-11-21 11:37:09
在高三年级,生物科目的备考要把握住机会,每天下课之后坚持做练习,争取把经常丢分的知识点搞清楚。小编分享福建龙岩名校2023-2024学年高三上学期11月期中考试试题生物答案,感兴