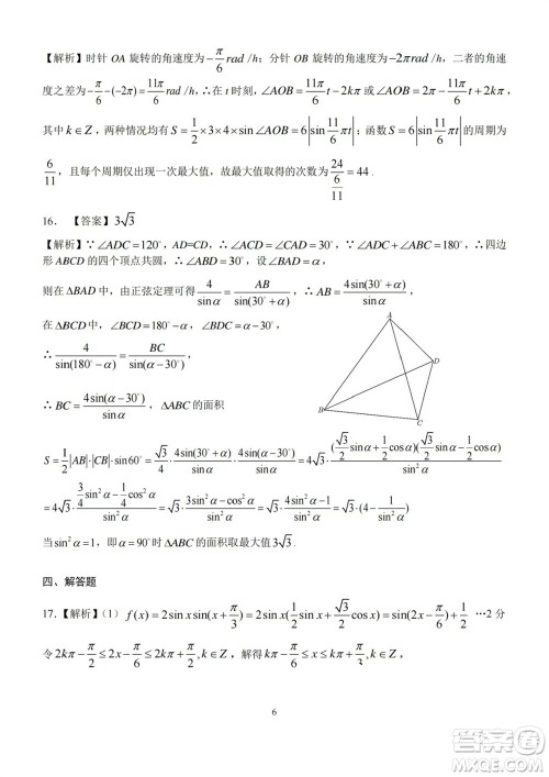
对于高三生来说,数学科目的备考压力很大,期中考试机会务必要把握住,争取把知识点巩固好。小编分享华中师大一附中2023-2024学年高三上学期期中检测数学试题答案,内容丰富,希望能帮到你们。

答案如下:
















华中师大一附中2023-2024学年高三上学期期中检测语文试题答案
2023-11-16 17:47:32
在高三年级,期中考试是很重要的,大家得把握住机会,考完之后查漏补缺,争取把成绩提起来。小编分享华中师大一附中2023-2024学年高三上学期期中检测语文试题答案,感兴趣的可以对照
扬州市2023-2024学年高三上学期期中检测试题物理答案
2023-11-16 17:38:17
小编分享扬州市2023-2024学年高三上学期期中检测试题物理答案,感兴趣的可以看过来。这是为高三年级学生搜集到的期中试题及答案,内容丰富,希望能帮助你们查漏补缺,从而提升物理
扬州市2023-2024学年高三上学期期中检测试题历史答案
2023-11-16 17:28:57
在高三年级,历史科目的备考要多花心思,课余时间务必勤做练习,争取把知识点掌握清楚。今天分享扬州市2023-2024学年高三上学期期中检测试题历史答案,内容丰富,感兴趣的可以对照看
徐州市2023-2024学年高三上学期期中抽测地理试题答案
2023-11-16 17:18:03
在高三年级,地理科目的备考很重要,大家得把握期中考试机会,争取把知识点巩固好。今天分享徐州市2023-2024学年高三上学期期中抽测地理试题答案,感兴趣的可以看过来。注意,答案仅